Senaste uppdateringen :
05/12/2025
Antidot   Sugammadex  
injektion
Lösningars stabilitet Stabilitet i blandningar Faktorer som påverkar stabiliteten Kompatibilitet Administreringssätt Hänvisningar pdf
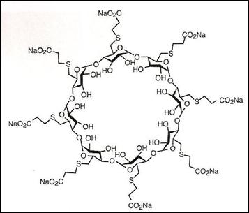
   Molekylstruktur  

Varunamn   Varunamn     

Angivna handelsnamn på läkemedel är enbart vägledande då formulering inklusive hjälpämnen kan variera mellan länder och tillverkare

Bridion Argentina, Australien, Belgien, Brasilien, Chile, Colombia, Danmark, Ecuador, Frankrike, Irland, Island, Italien, Japan, Luxemburg, Malaysia, Mexiko, Norge, nya Zeeland, Peru, Portugal, Rumänien, Schweiz, Spanien, Storbritannien, Turkiet, Tyskland, Ungern
Desintunev Mexiko
Sagomyl Chile
Sugadion Chile
Sugamastar Peru
Sugammadex Belgien, Chile, Finland, Irland, Italien, Spanien, Ungern
Suvitali Mexiko
Hänvisningar   injektion   Hänvisningar : Sugammadex  
Typ Publikation
2328 Laboratorium Sugammadex (Bridion®) – Résumé des caractéristiques du produits
Organon 2009
3372 tidningen Hanci V, Ali Kiraz H, Ömür D, Ekin S, Uyan B, Yurtlu B.S.
Precipitation in Gallipoli: Sugammadex / Amiodarone & Sugammadex / Dobutamine & Sugammadex / Protamine.
Rev Bras Anestesiol 2013 ; 63, 1: 163-166.

  Mentions Légales