Pēdējā atjaunošana :
05/12/2025
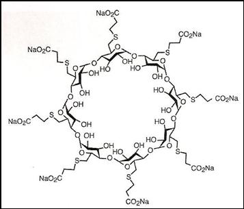
Antidots   Sugammadex  
Injekcija
Šķīduma stabilitāte Maisījuma stabilitāte Stabilitāti ietekmējoši faktori Saderība Levadīšanas veids Literatūras saraksts pdf
   Ķīmiskā uzbūve   

Oriģinālais nosaukums   Oriģinālais nosaukums     

Tirdzniecības nosaukumi ir apzīmējoši un palīgvielas var atšķirties dažādām valstīm un laboratorijām

Bridion Argentīna, Austrālija, Beļģija, Brazīlija, Čīle, Dānija, Ekvadora, Francija, Īrija, Islande, Itālija, Japāna, Jaunzēlande, Kolumbija, Lielbritānija, Luksemburga, Malaizija, Meksika, Norvēģija, Peru, Portugāle, Rumānija, Spānija, Šveice, Turcija, Ungārija, Vācija
Desintunev Meksika
Sagomyl Čīle
Sugadion Čīle
Sugamastar Peru
Sugammadex Beļģija, Čīle, Īrija, Itālija, Somija, Spānija, Ungārija
Suvitali Meksika
Literatūras saraksts   Injekcija   Literatūras saraksts : Sugammadex  
tips publicēšana
2328 Laboratorija Sugammadex (Bridion®) – Résumé des caractéristiques du produits
Organon 2009
3372 Žurnāls Hanci V, Ali Kiraz H, Ömür D, Ekin S, Uyan B, Yurtlu B.S.
Precipitation in Gallipoli: Sugammadex / Amiodarone & Sugammadex / Dobutamine & Sugammadex / Protamine.
Rev Bras Anestesiol 2013 ; 63, 1: 163-166.

  Mentions Légales