Poslední aktualizace :
31/03/2026
Antibiotikas   Erythromycin lactobionate  
Įpurškimas
Tirpalų stabilumas Mišinių stabilumas Stabilumą lemiantys veiksniai Suderinamumas Leidimo būdai Bibliografija pdf
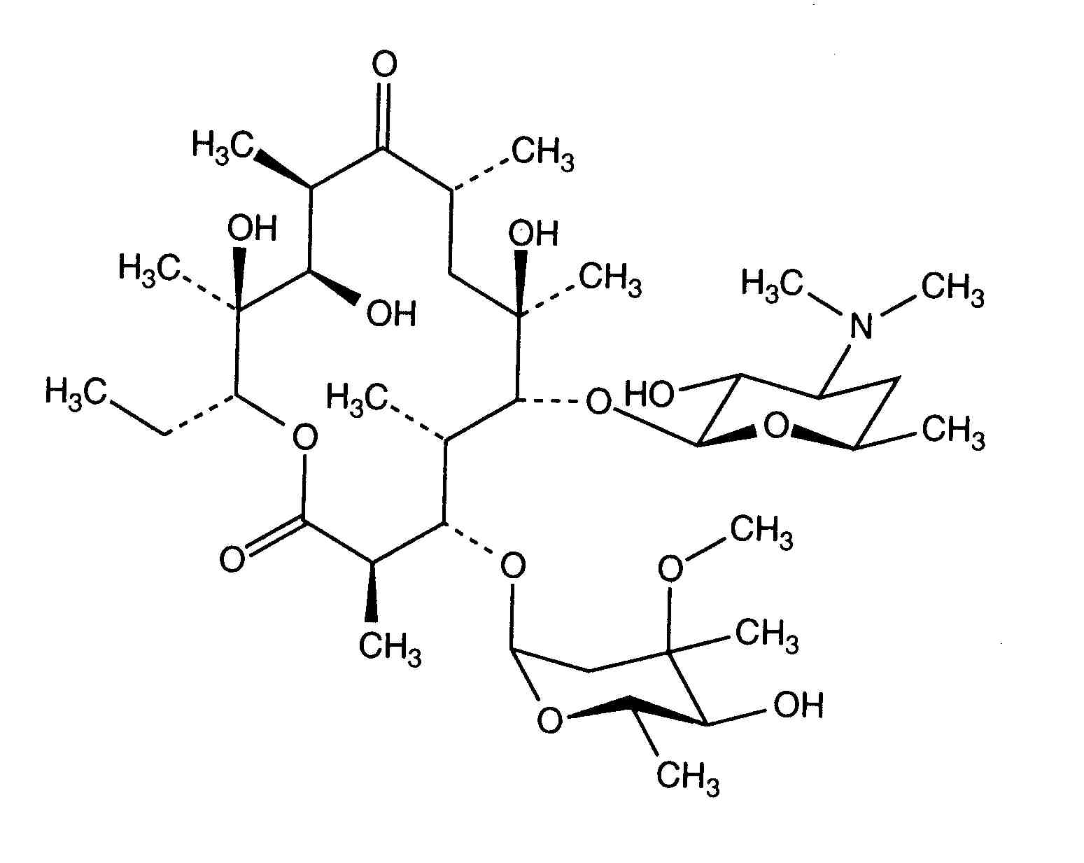
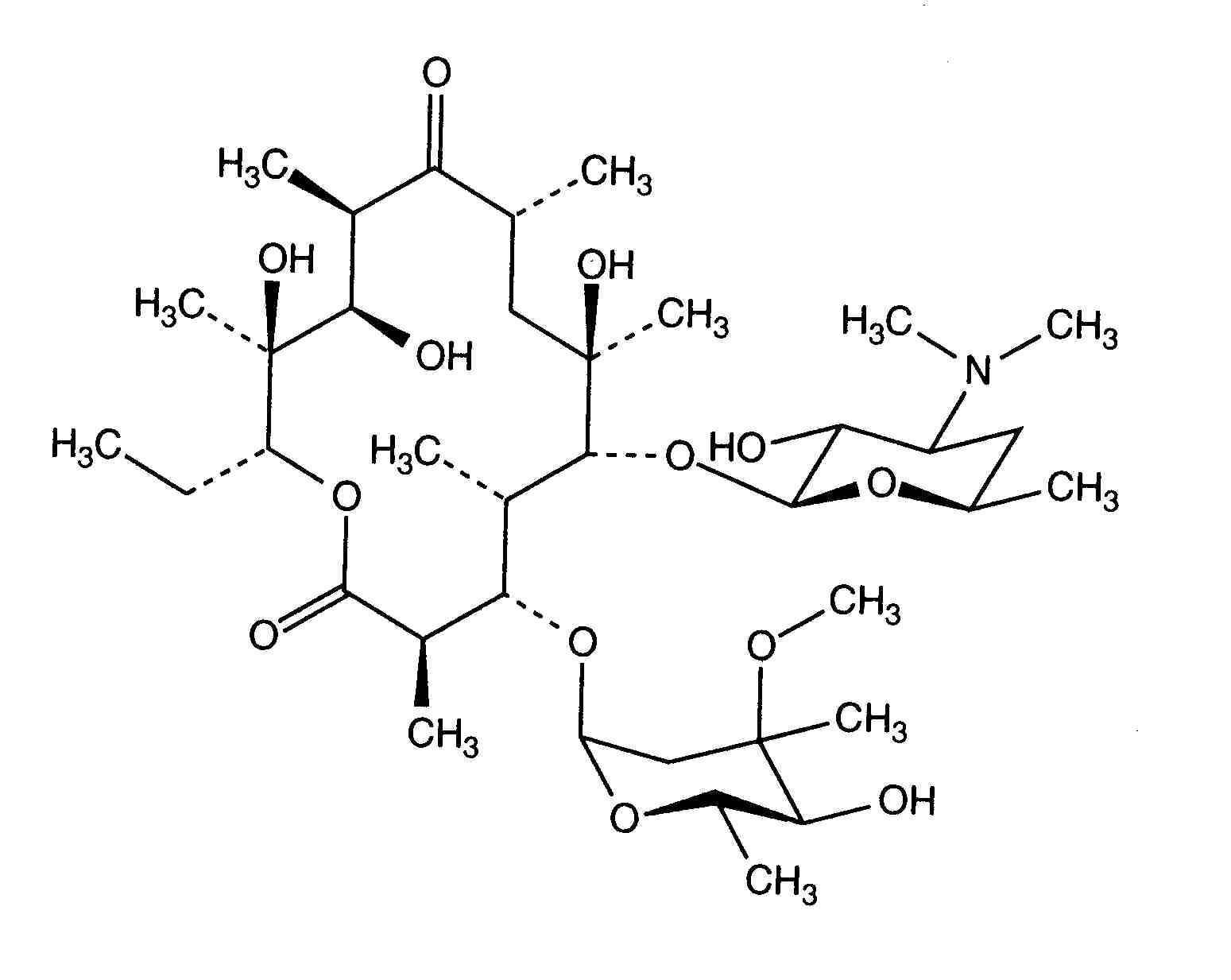
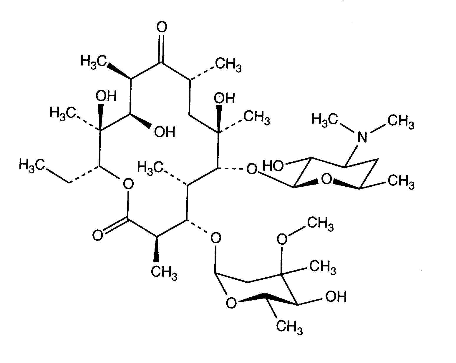
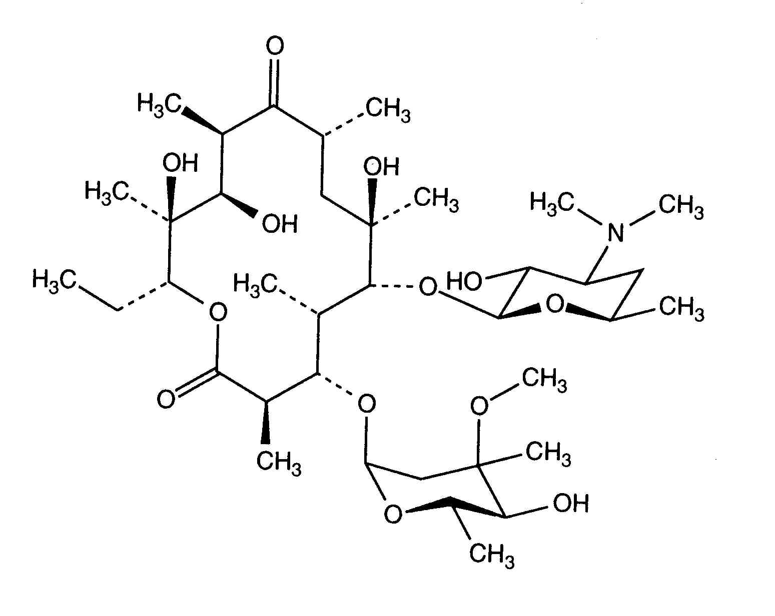
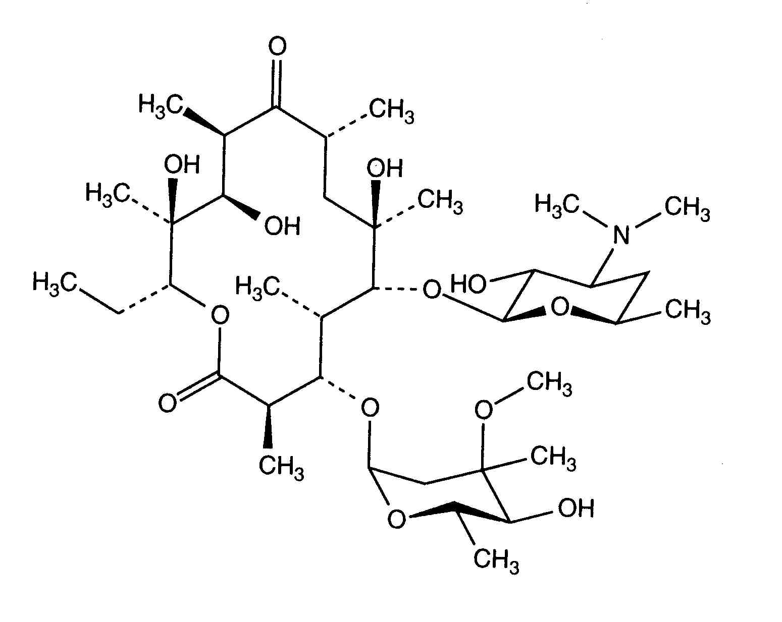
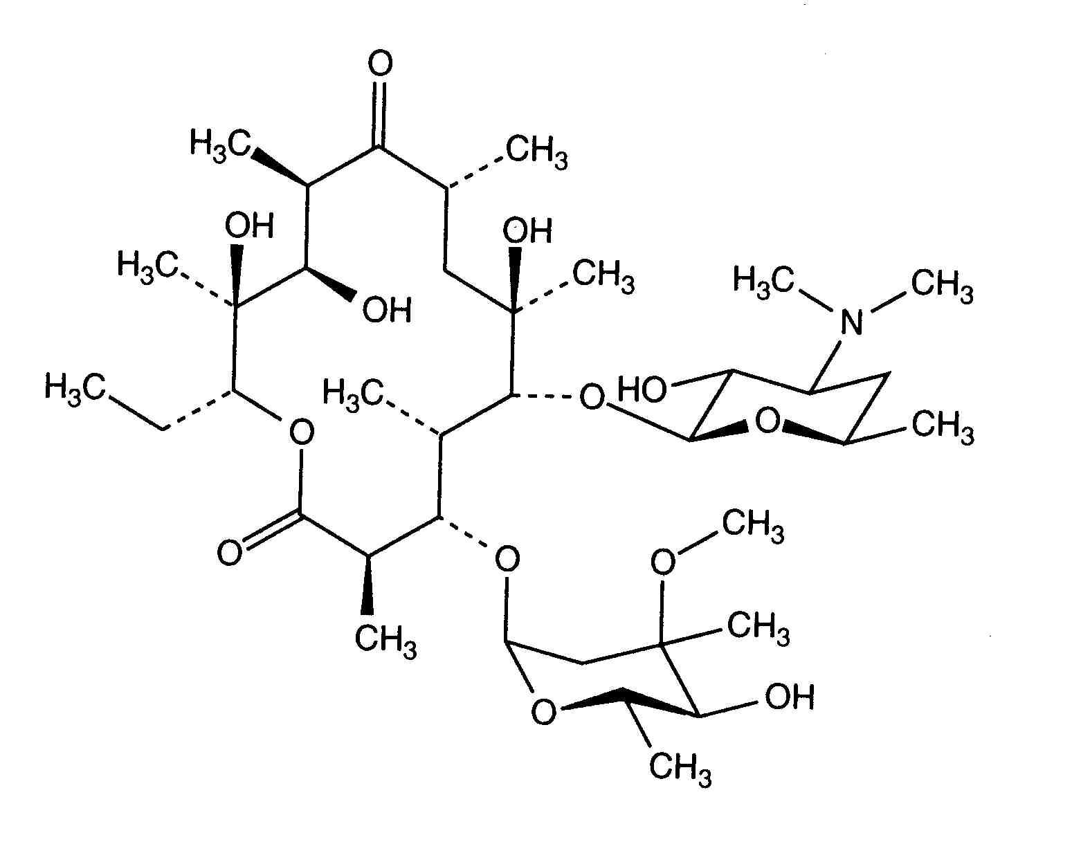
   Cheminė sandara  

Prekinis pavadinimas   Prekinis pavadinimas     

Trade names are indicative and excipients composition can be different depending on the country and manufacturers

Abboticin Danija, Norvegija, Suomija, Švedija
Eristin Argentina
Erithromicina Čilė
Erycinum Vokietija
Erythrocin Airija, Australija, Austrija, Didžioji Britanija, Jungtinės Amerikos Valstijos, Kanada, Naujojoje Zelandijoje, Saudo Arabija, Vokietija
Erythrocin lactobionat ADD Vantage Australija, Austrija
Erythrocine Belgija, Liuksemburgas, Olandija, Prancūzija, Tunisas
Erythromycin Didžioji Britanija, Jungtinės Amerikos Valstijos, Saudo Arabija, Vengrija, Vokietija
Erythromycine Liuksemburgas
Erythromycinum Lenkija
Pantomicina Čilė, Ispanija

Stabilumą lemiantys veiksniai   Įpurškimas   Stabilumą lemiantys veiksniai : Erythromycin lactobionate        
Nuorodos
pH pH >10 Skatina Skilimas 20
pH 7,5 < pH < 8 Skatina Didesnis stabilumas 1153
pH pH < 5,5 Skatina Skilimas 20

  Mentions Légales