Последно актуализиране :
18/03/2026
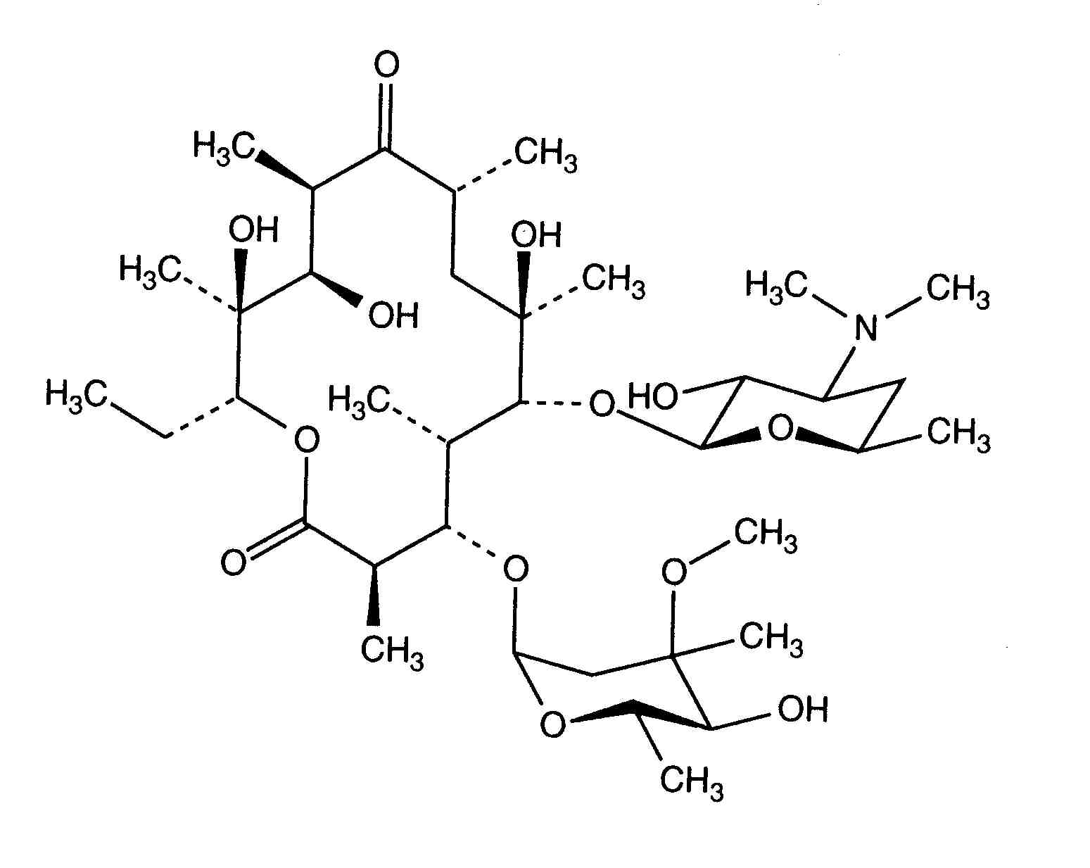
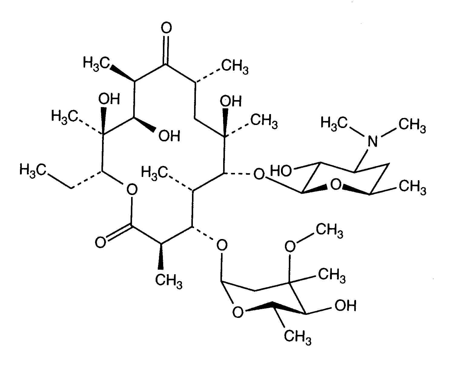
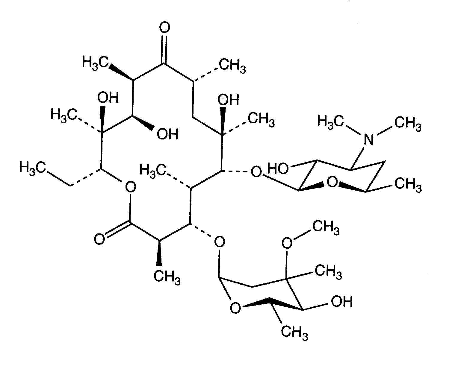
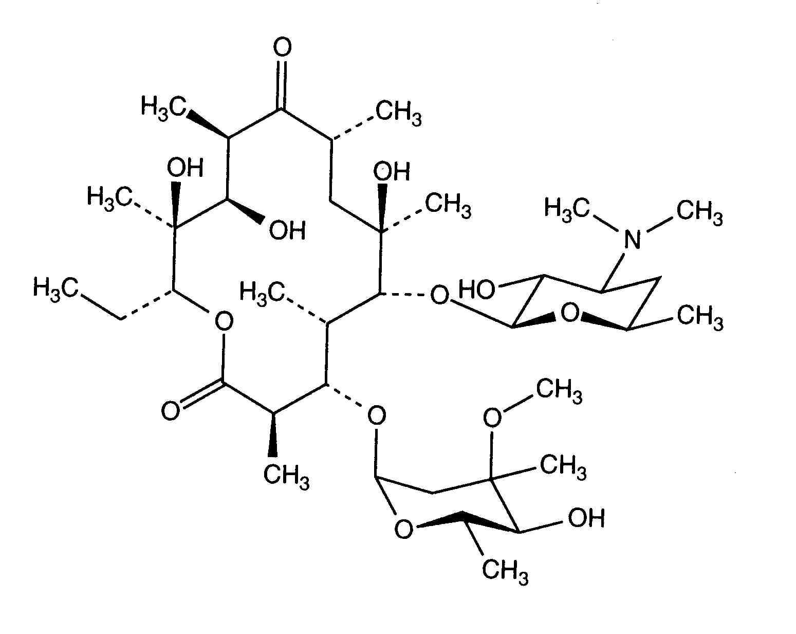
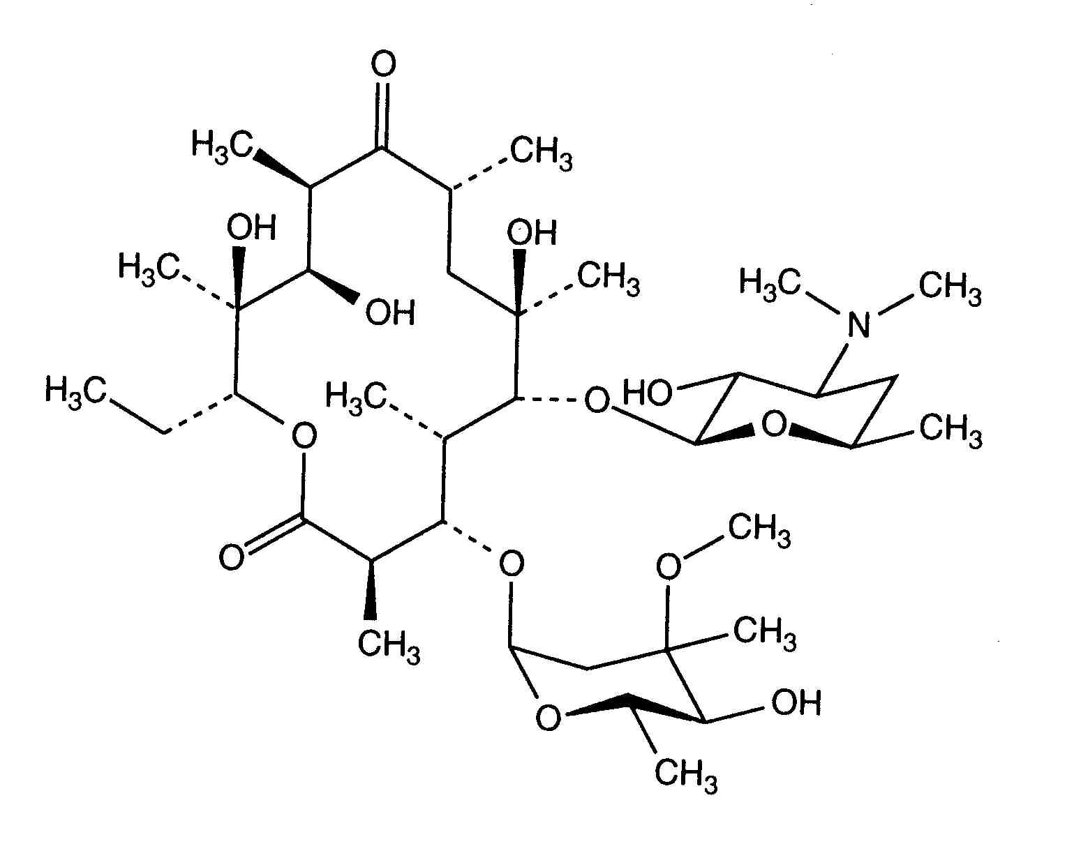
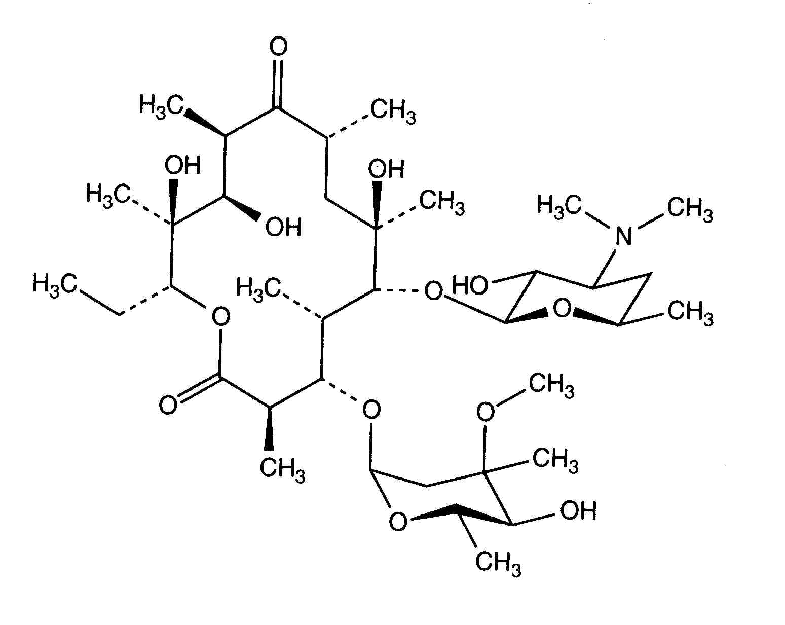
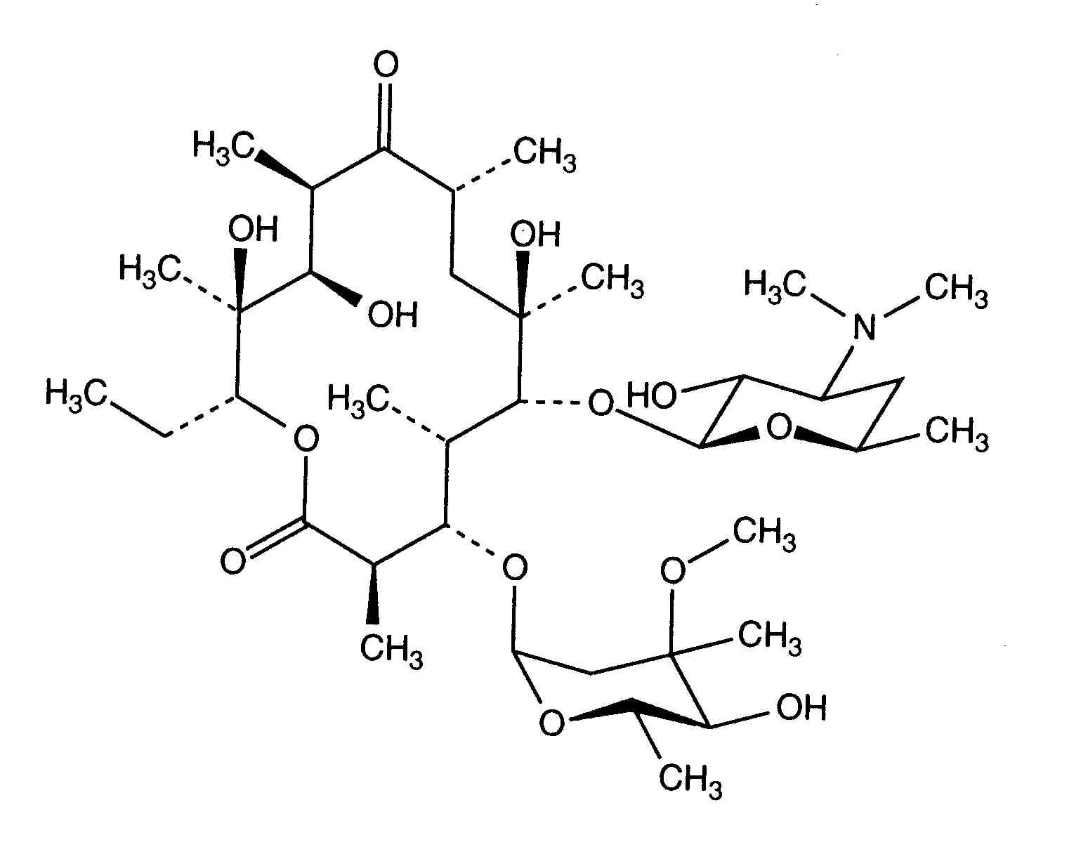
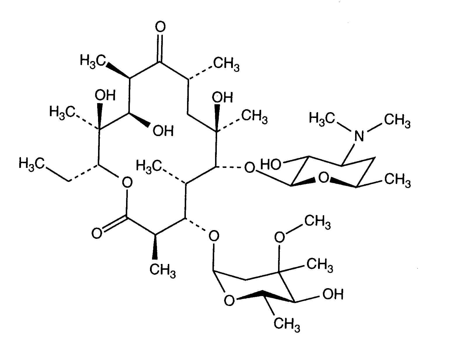
Антибиотик   Erythromycin lactobionate  
Инжекция/Инжекционен
Стабилност на разтвори Стабилност на смеси Фактори, повлияващи стабилността Съвместимост Път на въвеждане Библиография Pdf
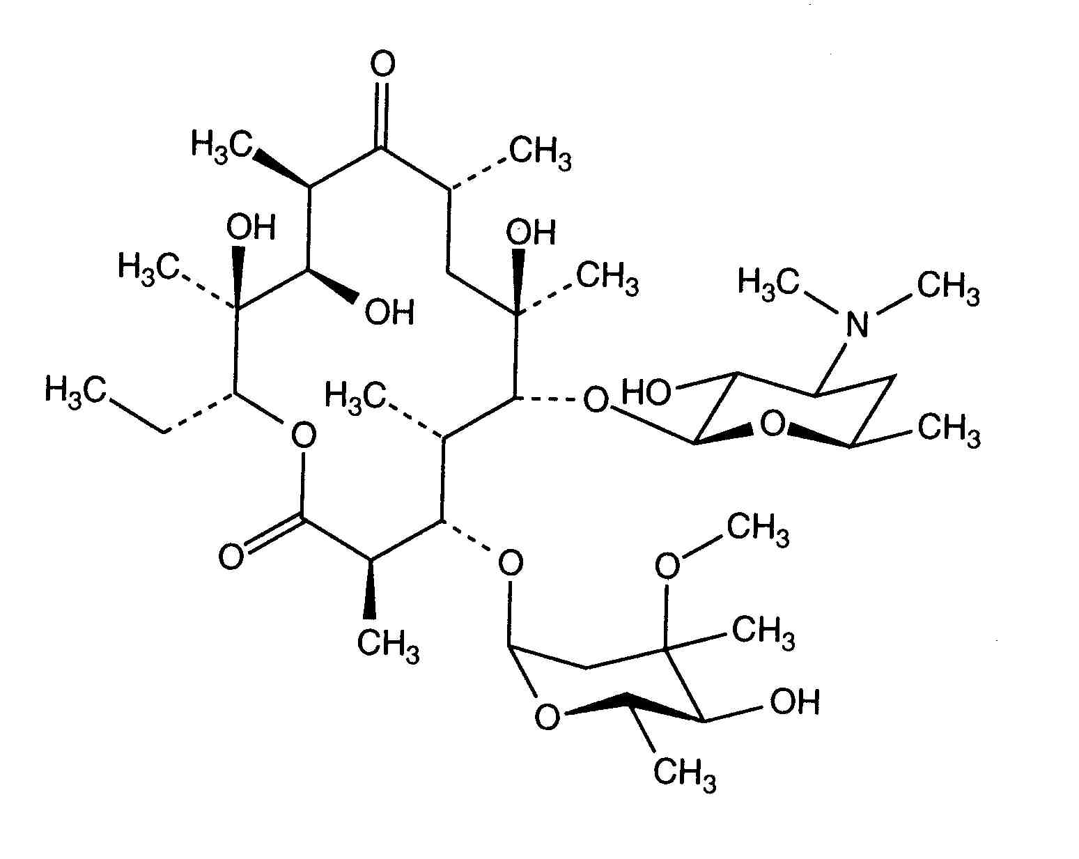
   Химична структура  

Търговско наименование   Търговско наименование     

Търговските имена са примерни и съставът на помощните вещества може да бъде различен в зависимост от държавата и лабораториите

Abboticin Дания, Норвегия, Финландия, Швеция
Eristin Аржентина
Erithromicina Чили
Erycinum Германия
Erythrocin Австралия, Австрия, Великобритания, Германия, Ирландия, Канада, нова Зеландия, Саудитска Арабия, Съединени Американски щати / САЩ
Erythrocin lactobionat ADD Vantage Австралия, Австрия
Erythrocine Белгия, Люксенбург, Тунис, Франция, Холандия
Erythromycin Великобритания, Германия, Саудитска Арабия, Съединени Американски щати / САЩ, Унгария
Erythromycine Люксенбург
Erythromycinum Полша
Pantomicina Испания, Чили

Фактори, повлияващи стабилността   Инжекция/Инжекционен   Фактори, повлияващи стабилността : Erythromycin lactobionate        
Библиография
рН pH >10 Предизвиква Разграждане 20
рН 7,5 < pH < 8 Предизвиква Увеличена стабилност 1153
рН pH < 5,5 Предизвиква Разграждане 20

  Mentions Légales