آخر تحديث :
18/03/2026
مضاد حيوي   Erythromycin lactobionate  
حقن
الاستقرار في حلول استقرار مخاليط العوامل التي تؤثر على الاستقرار التوافق طريقة التعاطي مراجع pdf
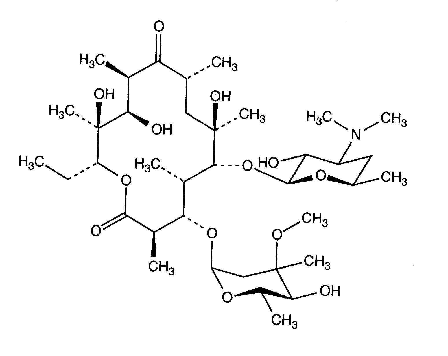
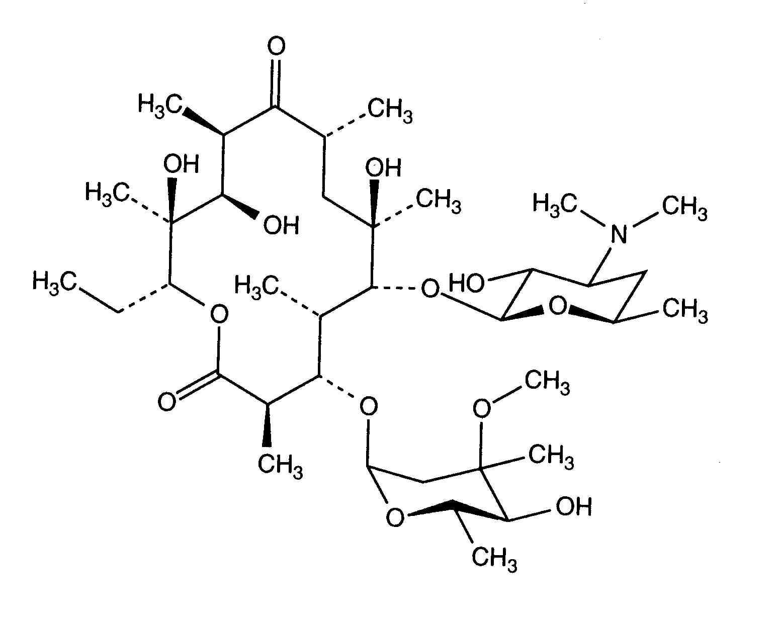
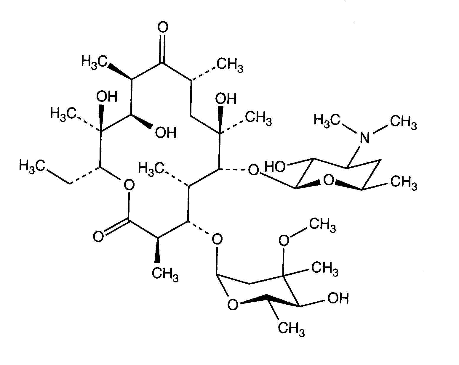
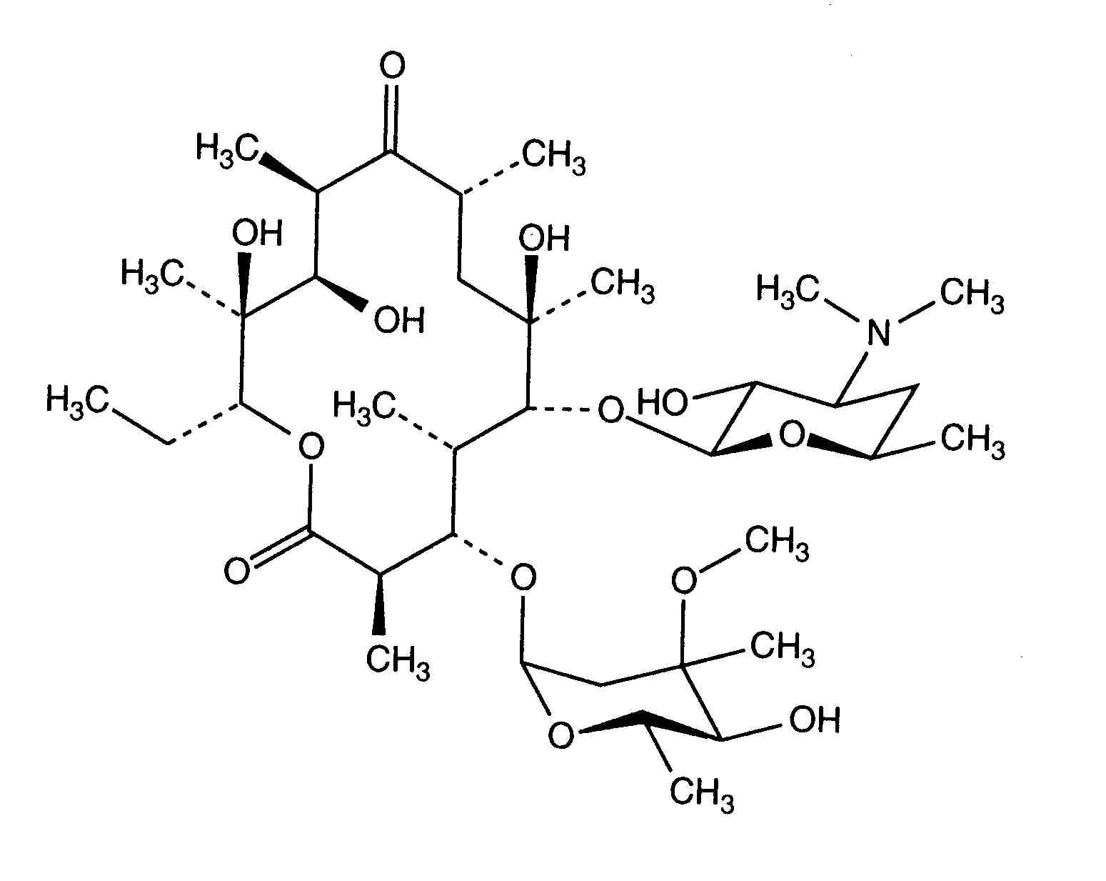
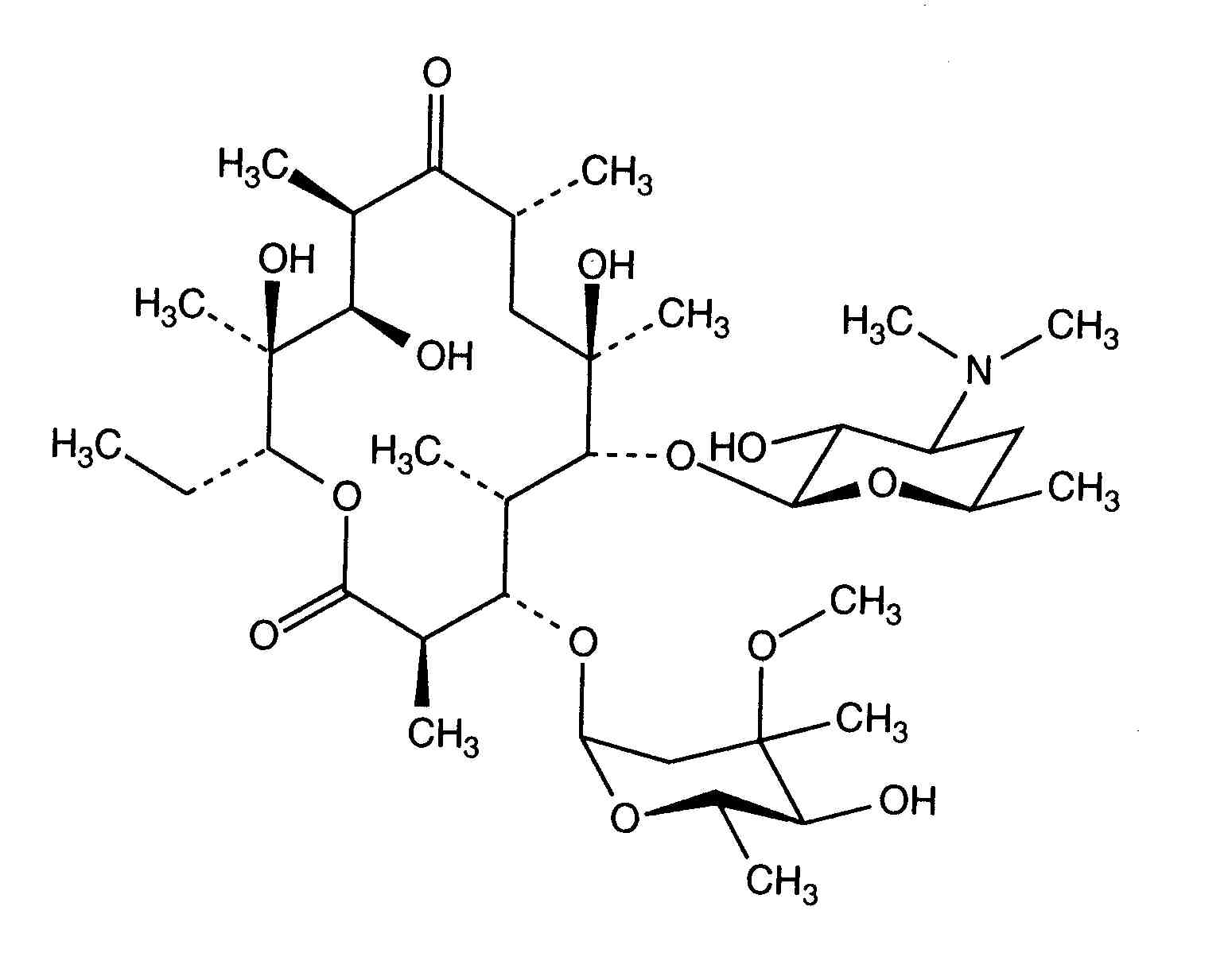
   التركيب الكيميائي  

حجز الاسم التجاري   حجز الاسم التجاري     

تحذير الأسماء التجاريه المختلفه قد تحتوي علي محتوي إضافات مختلفة حسب الدوله و المعمل

Abboticin الدنمارك, السويد, النرويج, فنلندا
Eristin الأرجنتين
Erithromicina تشيلي
Erycinum ألمانيا
Erythrocin أستراليا, ألمانيا, العربية السعودية, النمسا, الولايات المتحدة, ايرلندا, بريطانيا العظمي, زيلاندا الجديدة, كندا
Erythrocin lactobionat ADD Vantage أستراليا, النمسا
Erythrocine بلجيكا, تونس, فرنسا, لوكسمبورغ, هولندا
Erythromycin ألمانيا, العربية السعودية, الولايات المتحدة, بريطانيا العظمي, هنغاريا
Erythromycine لوكسمبورغ
Erythromycinum بولندا
Pantomicina إسبانيا, تشيلي

العوامل التي تؤثر على الاستقرار   حقن   العوامل التي تؤثر على الاستقرار : Erythromycin lactobionate        
مراجع
pH pH >10 الحث انحلال 20
pH 7،5 <درجة الحموضة <8 الحث تعزيز الاستقرار 1153
pH pH < 5.5 الحث انحلال 20

  Mentions Légales