Τελευταία ενημέρωση :
18/03/2026
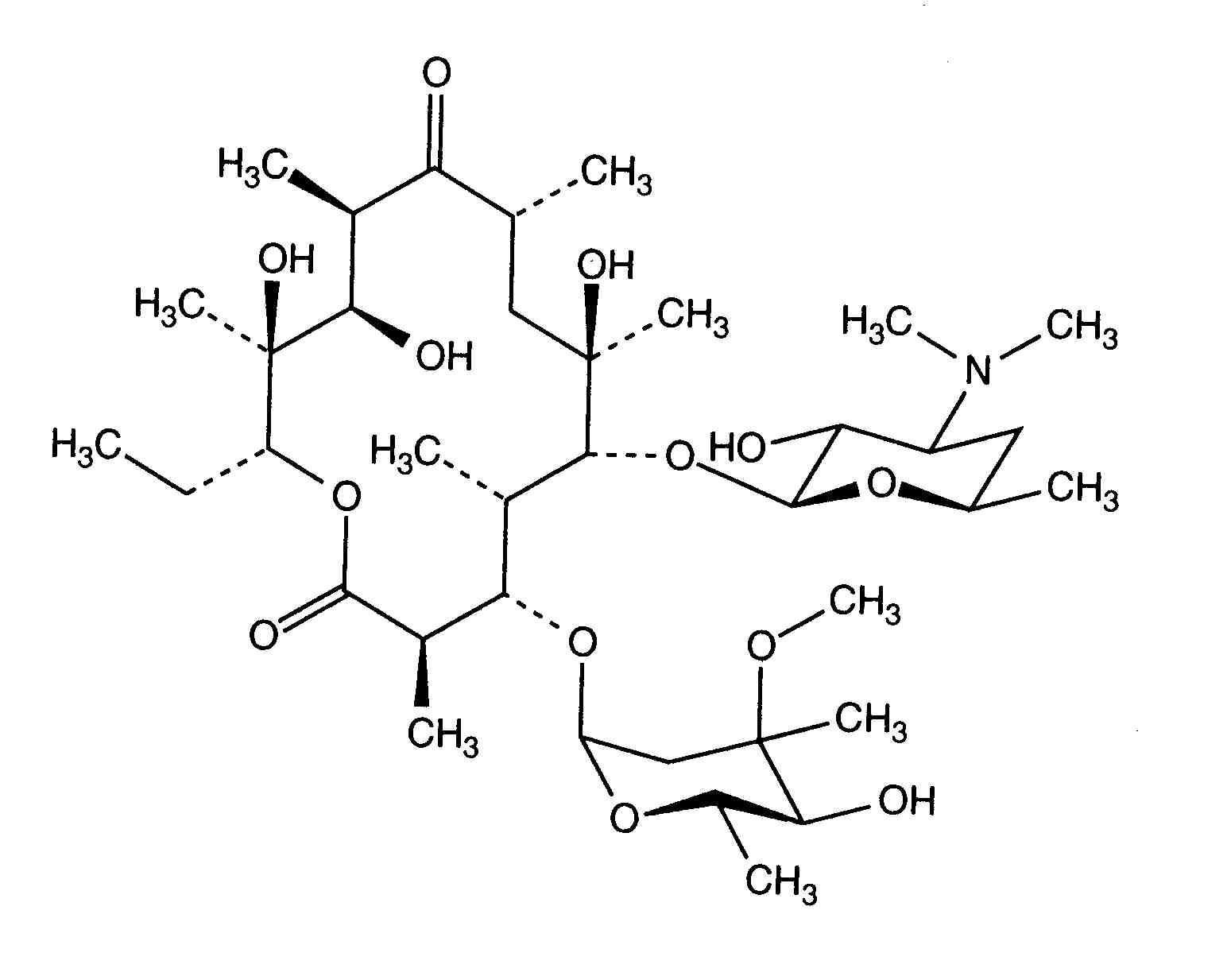
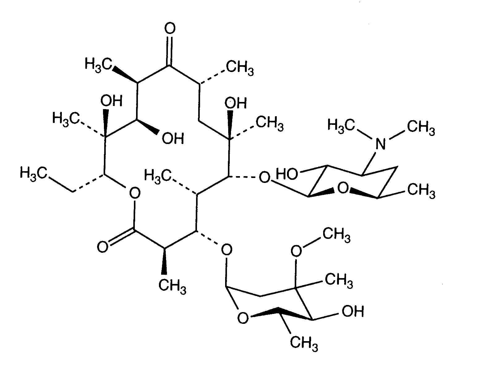
Αντιβιοτικό   Erythromycin lactobionate  
Ενέσιμο
Σταθερότητα διαλυμάτων Σταθερότητα σε μίγματα Παράγοντας που επηρεάζει τη σταθερότητα Συμβατότητες Τρόπος χορήγησης Βιβλιογραφία pdf
   χημική δομή  

Εμπορική ονομασία   Εμπορική ονομασία     

Οι εμπορικές ονομασίες είναι ενδεικτικές και η σύνθεση των εκδόχων μπορεί να διαφέρει ανάλογα με τη χώρα και τα εργαστήρια

Abboticin Δανία, Νορβηγία, Σουηδία, Φινλανδία
Eristin Αργεντινή
Erithromicina Χιλή
Erycinum Γερμανία
Erythrocin Αυστραλία, Αυστρία, Γερμανία, Η.Π.Α., Ιρλανδία, Καναδάς, Μεγάλη Βρετανία, νέα Ζηλανδία, Σαουδική Αραβία
Erythrocin lactobionat ADD Vantage Αυστραλία, Αυστρία
Erythrocine Βέλγιο, Γαλλία, Λουξεμβούργο, Ολλανδία, Τυνησία
Erythromycin Γερμανία, Η.Π.Α., Μεγάλη Βρετανία, Ουγγαρία, Σαουδική Αραβία
Erythromycine Λουξεμβούργο
Erythromycinum Πολωνία
Pantomicina Ισπανία, Χιλή

Παράγοντας που επηρεάζει τη σταθερότητα   Ενέσιμο   Παράγοντας που επηρεάζει τη σταθερότητα : Erythromycin lactobionate        
Βιβλιογραφία
pH pH >10 Προκαλεί Αποδόμηση 20
pH 7,5 < pH < 8 Προκαλεί Ενισχυμένη σταθερότητα 1153
pH pH < 5,5 Προκαλεί Αποδόμηση 20

  Mentions Légales