最新更新 :
18/03/2026
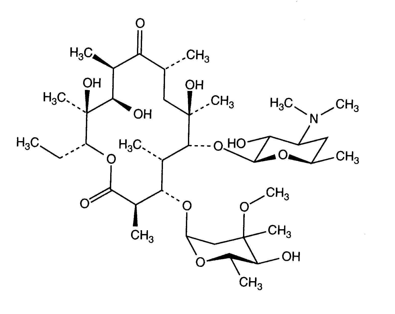
抗生素   Erythromycin lactobionate  
注射液
溶液稳定性 混合物稳定性 影响稳定性的因素 兼容性 用药途径 引用文献 PDF
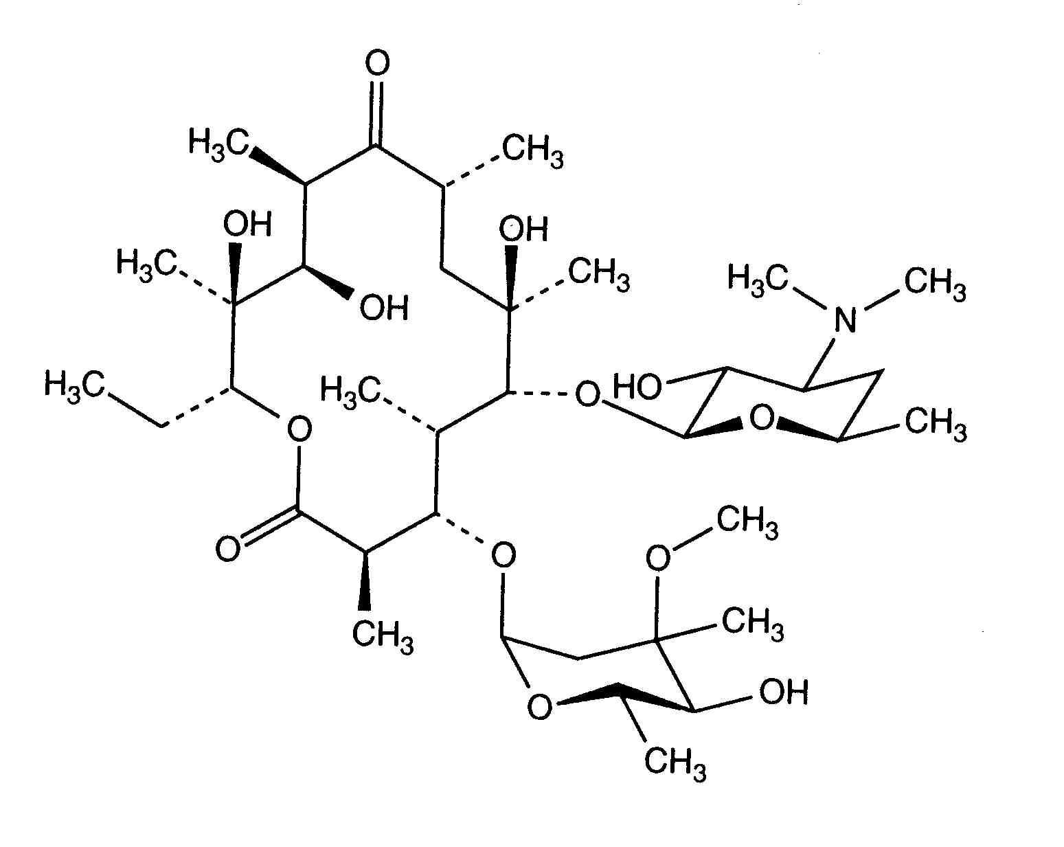
   化学式  

商品名   商品名     

商品名仅供参考, 药品所用的辅料可能依国家或厂商不同有所不同。

Abboticin 丹麦, 挪威, 瑞典, 芬兰
Eristin 阿根廷
Erithromicina 智利
Erycinum 德国
Erythrocin 加拿大, 奥地利, 德国, 新西蘭, 沙特阿拉伯, 澳大利亚, 爱尔兰, 美国, 英国
Erythrocin lactobionat ADD Vantage 奥地利, 澳大利亚
Erythrocine 卢森堡, 比利时, 法国, 突尼斯, 荷兰
Erythromycin 匈牙利, 德国, 沙特阿拉伯, 美国, 英国
Erythromycine 卢森堡
Erythromycinum 波兰
Pantomicina 智利, 西班牙

影响稳定性的因素   注射液   影响稳定性的因素 : Erythromycin lactobionate        
引用文献
PH PH >10 诱导 分解 20
PH 7,5 < pH < 8 诱导 强化稳定性 1153
PH PH < 5.5 诱导 分解 20

  Mentions Légales