Siste oppdatering :
18/03/2026
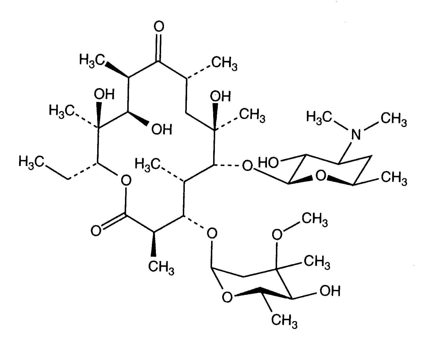
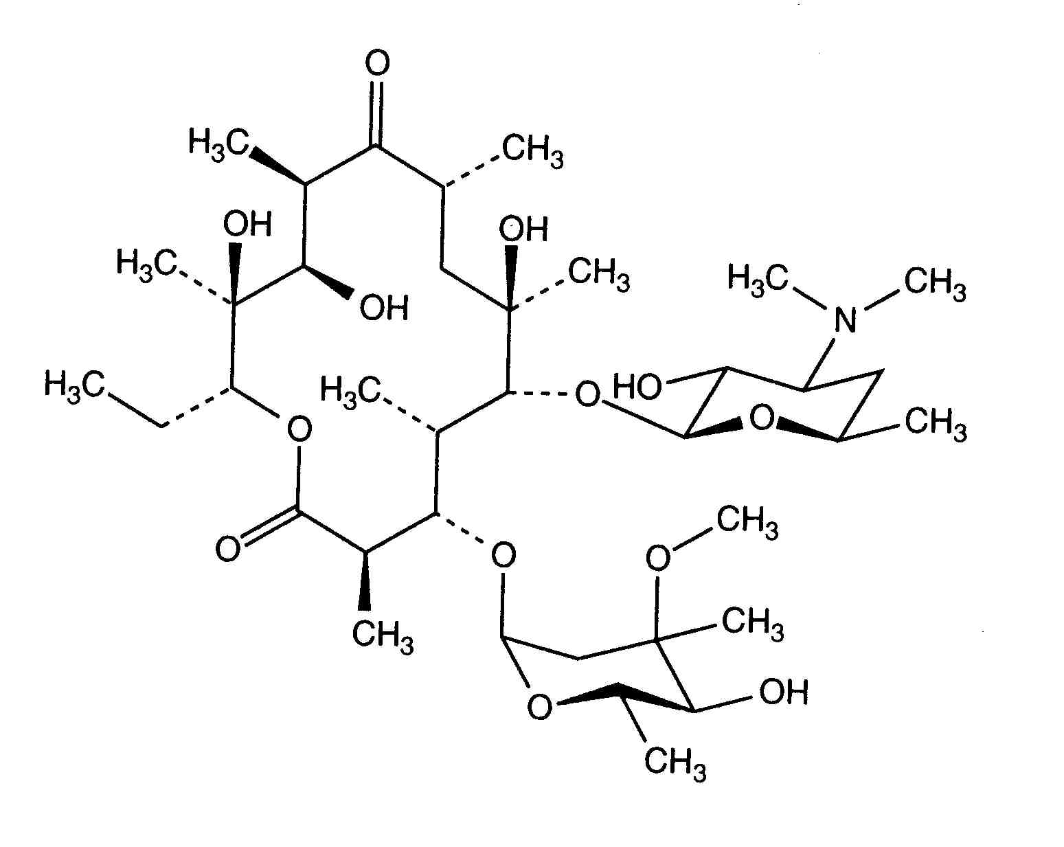
Antibiotika   Erythromycin lactobionate  
Injeksjon
Oppløsningsstabilitet Stabilitet i blandinger Faktorer som påvirker stabiliteten Kompatibilitet Administrasjonsmåte Referanser pdf
   Kjemisk struktur  

Handelsnavn   Handelsnavn     

Handelsnavn er veiledende og sammensetning av hjelpestoffer kan være forskjellig avhengig av land og produsent

Abboticin Danmark, Finland, Norge, Sverige
Eristin Argentina
Erithromicina Chile
Erycinum Tyskland
Erythrocin Australia, Canada, Irland, New Zealand, Saudi-Arabia, Storbritannia, Tyskland, USA, Østerrike
Erythrocin lactobionat ADD Vantage Australia, Østerrike
Erythrocine Belgia, Frankrike, Luxembourg, Nederland, Tunisia
Erythromycin Saudi-Arabia, Storbritannia, Tyskland, Ungarn, USA
Erythromycine Luxembourg
Erythromycinum Polen
Pantomicina Chile, Spania

Faktorer som påvirker stabiliteten   Injeksjon   Faktorer som påvirker stabiliteten : Erythromycin lactobionate        
Referanser
pH pH >10 Induserer Degradasjon 20
pH 7,5 < pH < 8 Induserer Økt stabilitet 1153
pH pH < 5,5 Induserer Degradasjon 20

  Mentions Légales