Zadnji put ažurirano :
21/04/2026
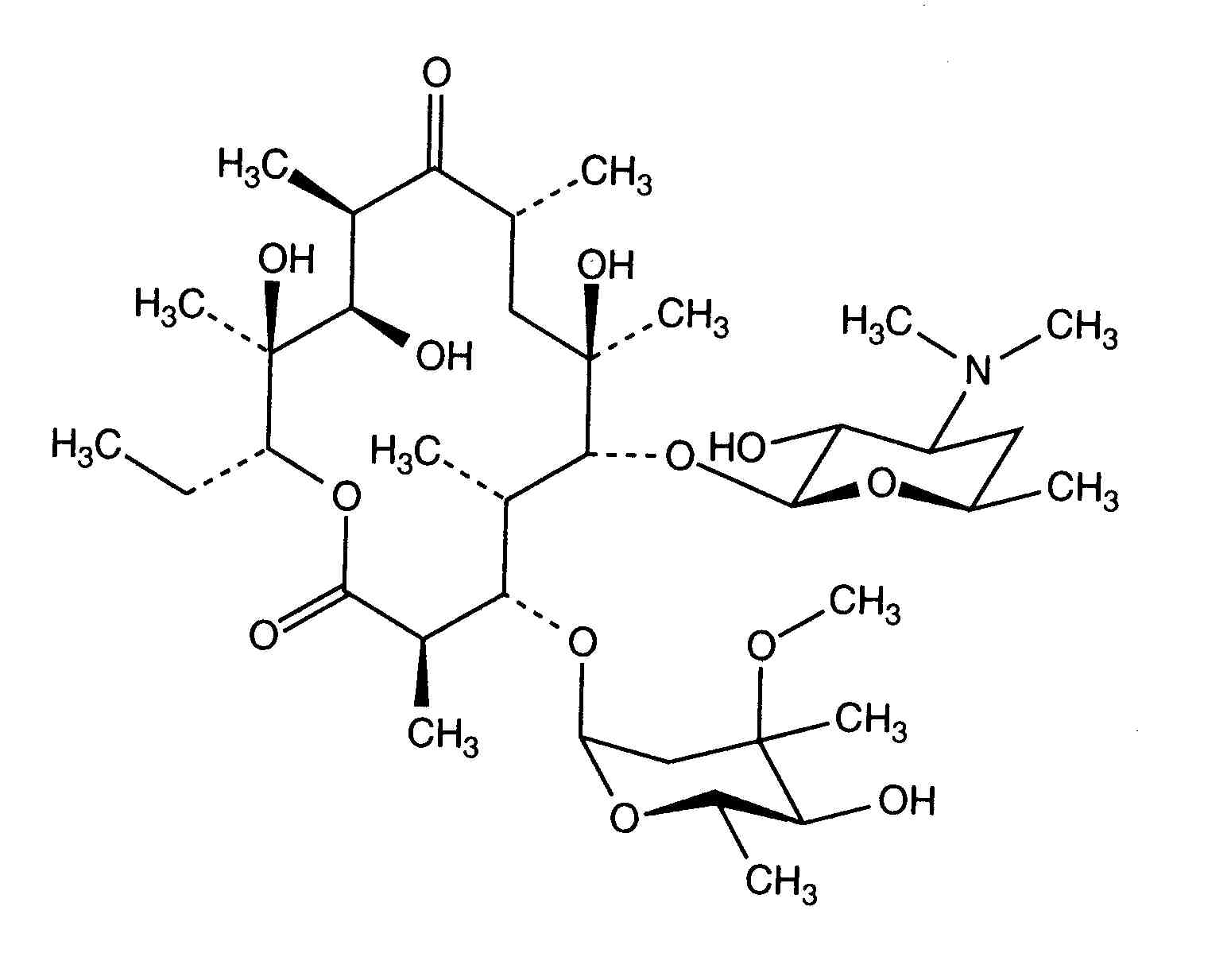
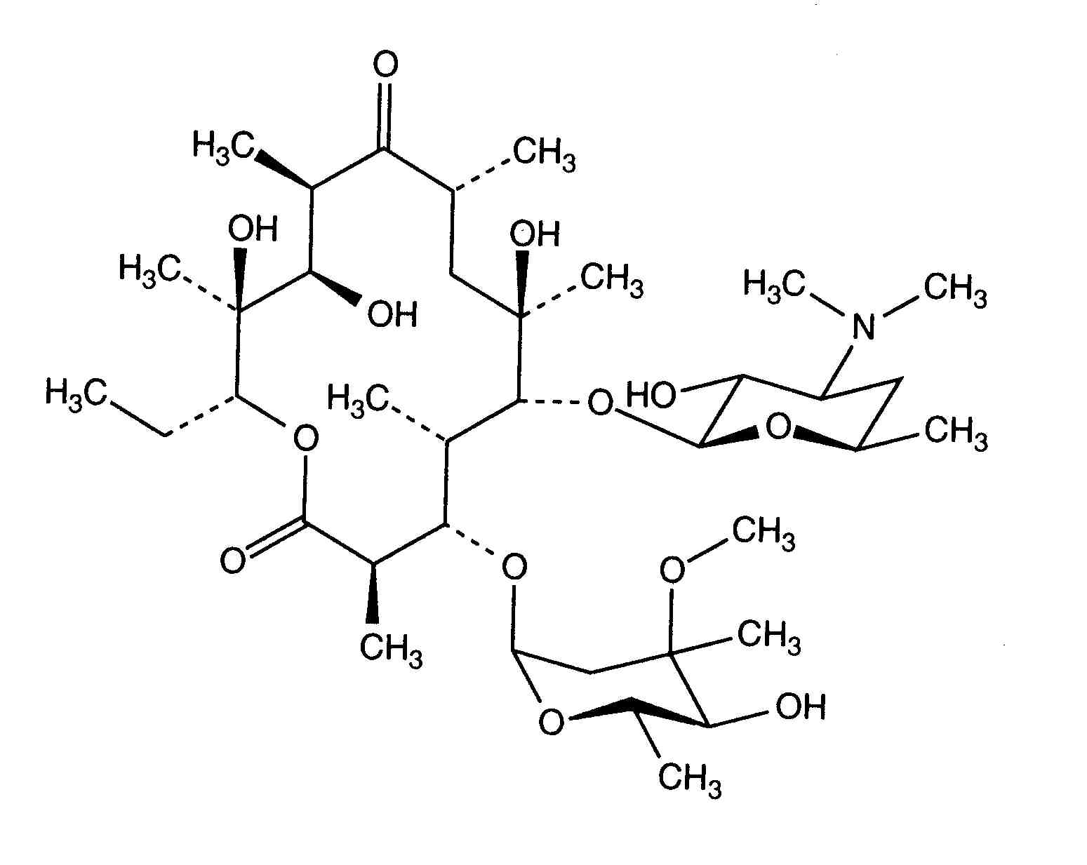
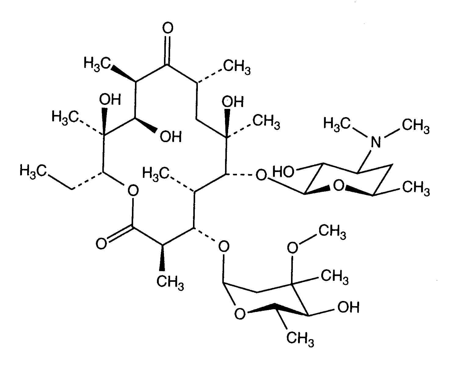
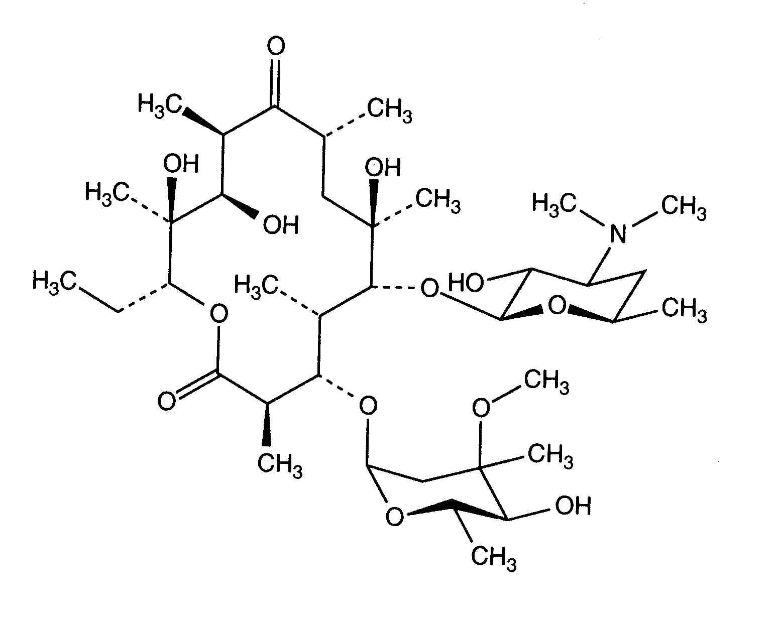
antibiotik   Erythromycin lactobionate  
injekcija
Stabilizacija rješenja Stabilnost mješavine Stabilizacijski faktor Kompatibilnosti način davanja lijeka Bibliografija pdf
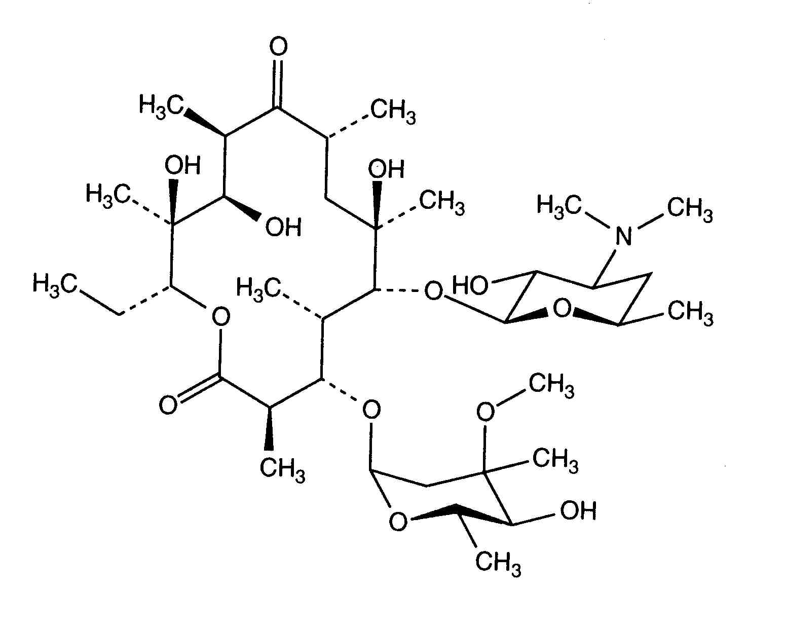
   Kemijska struktura  

Nekomercijalni   Nekomercijalni     

Zaštićeni nazivi su indikativni i sastav ekscipijensa može biti različit ovisno o državi i laboratorijima

Abboticin Danska, Finska, Norveška, Švedska
Eristin Argentina
Erithromicina Čile
Erycinum Njemačka
Erythrocin Australija, Austrija, Irska, Kanada, Njemačka, novi Zeland, S A D, Saudijska Arabija, Velika Britanija
Erythrocin lactobionat ADD Vantage Australija, Austrija
Erythrocine Belgija, Francuska, Luksemburg, Nizozemska, Tunis
Erythromycin Madžarska, Njemačka, S A D, Saudijska Arabija, Velika Britanija
Erythromycine Luksemburg
Erythromycinum Poljska
Pantomicina Čile, Španjolska

Stabilizacijski faktor   injekcija   Stabilizacijski faktor : Erythromycin lactobionate        
Bibliografija
pH pH >10 izaziva Degradacija 20
pH 7,5 < pH < 8 izaziva Pojačana stabilnost 1153
pH pH < 5,5 izaziva Degradacija 20

  Mentions Légales