Dernière mise à jour :
27/04/2026
Antibiotique   Erythromycin lactobionate  
injectable
Stabilité des solutions Stabilité en mélange Facteur influençant la stabilité Compatibilités Voie d’administration Bibliographie pdf
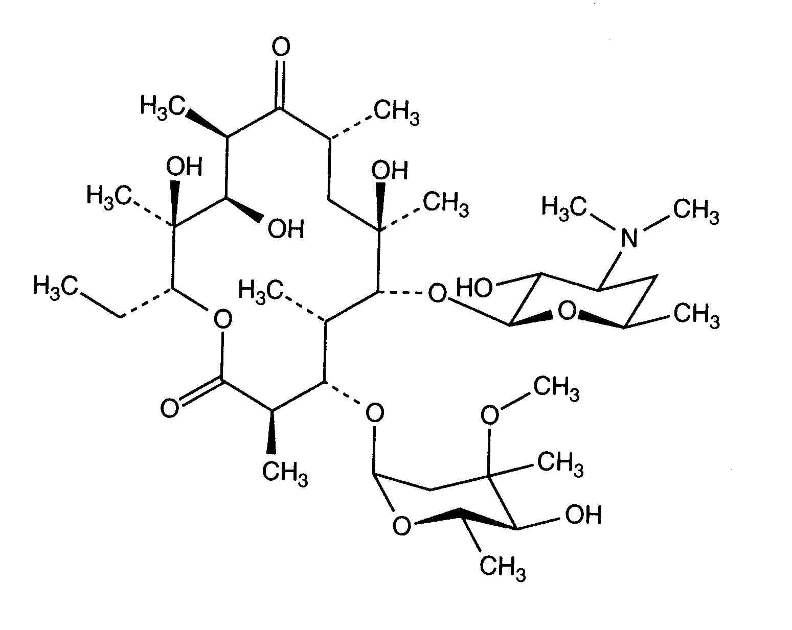
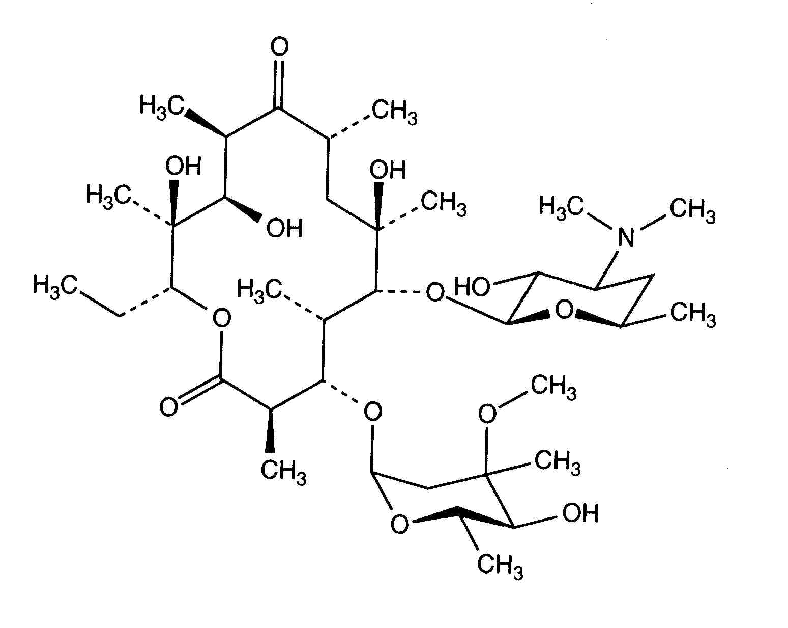
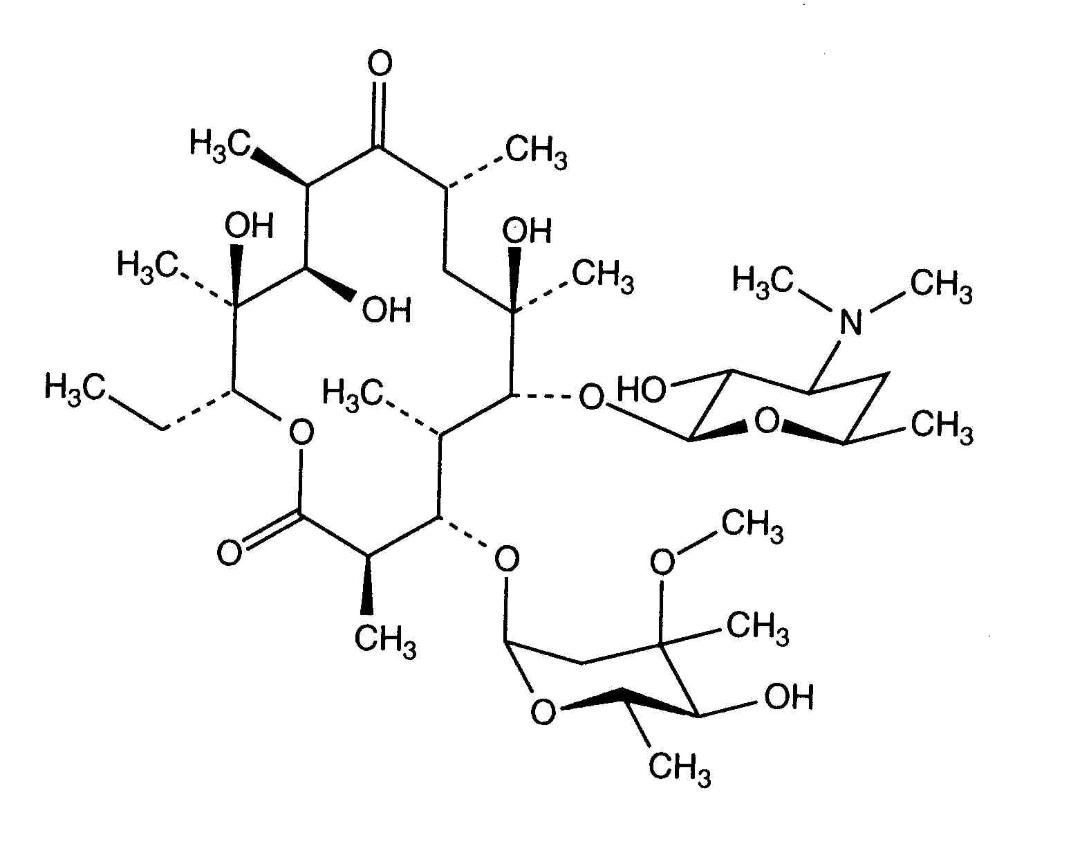
   Structure chimique  

Noms commerciaux   Noms commerciaux     

Les noms commerciaux sont donnés à titre indicatif et la composition en excipients peut être différente selon les pays et selon les laboratoires

Abboticin Danemark, Finlande, Norvège, Suède
Eristin Argentine
Erithromicina Chili
Erycinum Allemagne
Erythrocin Allemagne, Arabie Saoudite, Australie, Autriche, Canada, Etats Unis d’Amérique, Grande Bretagne, Irlande, Nouvelle Zélande
Erythrocin lactobionat ADD Vantage Australie, Autriche
Erythrocine Belgique, France, Luxembourg, Pays bas, Tunisie
Erythromycin Allemagne, Arabie Saoudite, Etats Unis d’Amérique, Grande Bretagne, Hongrie
Erythromycine Luxembourg
Erythromycinum Pologne
Pantomicina Chili, Espagne

Facteur influençant la stabilité   injectable   Facteur influençant la stabilité : Erythromycin lactobionate        
Bibliographie
pH pH >10 Provoque Dégradation 20
pH 7,5 < pH < 8 Provoque Augmentation stabilité 1153
pH pH < 5,5 Provoque Dégradation 20

  Mentions Légales