Letztes “update” :
27/04/2026
Antibiotikum   Erythromycin lactobionate  
Injektion
Stabilität der Lösung Gemengestabilität Stabilitätbeeinflussende Faktoren Kompatibilitäten Applikationsart Literaturverzeichnis pdf
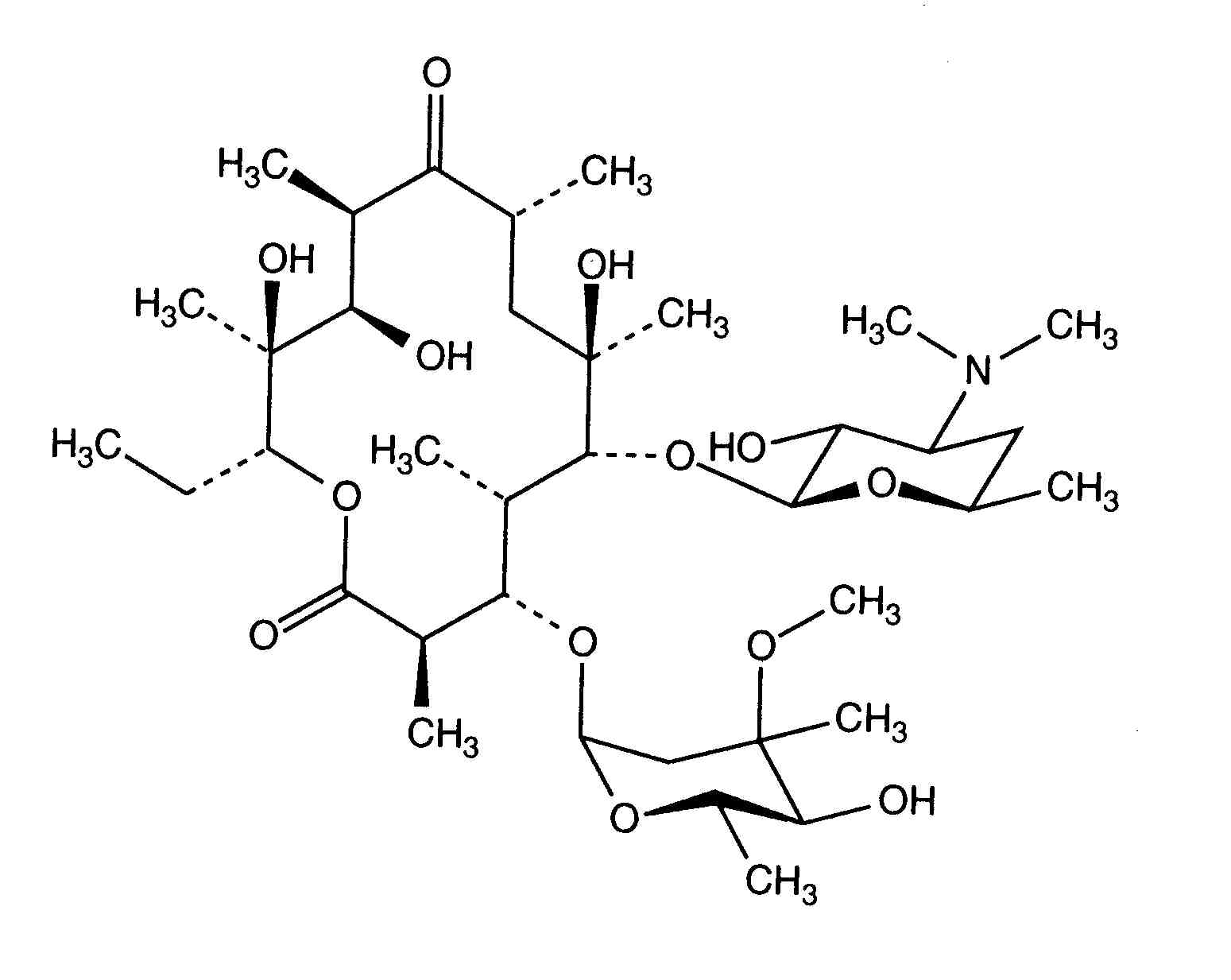
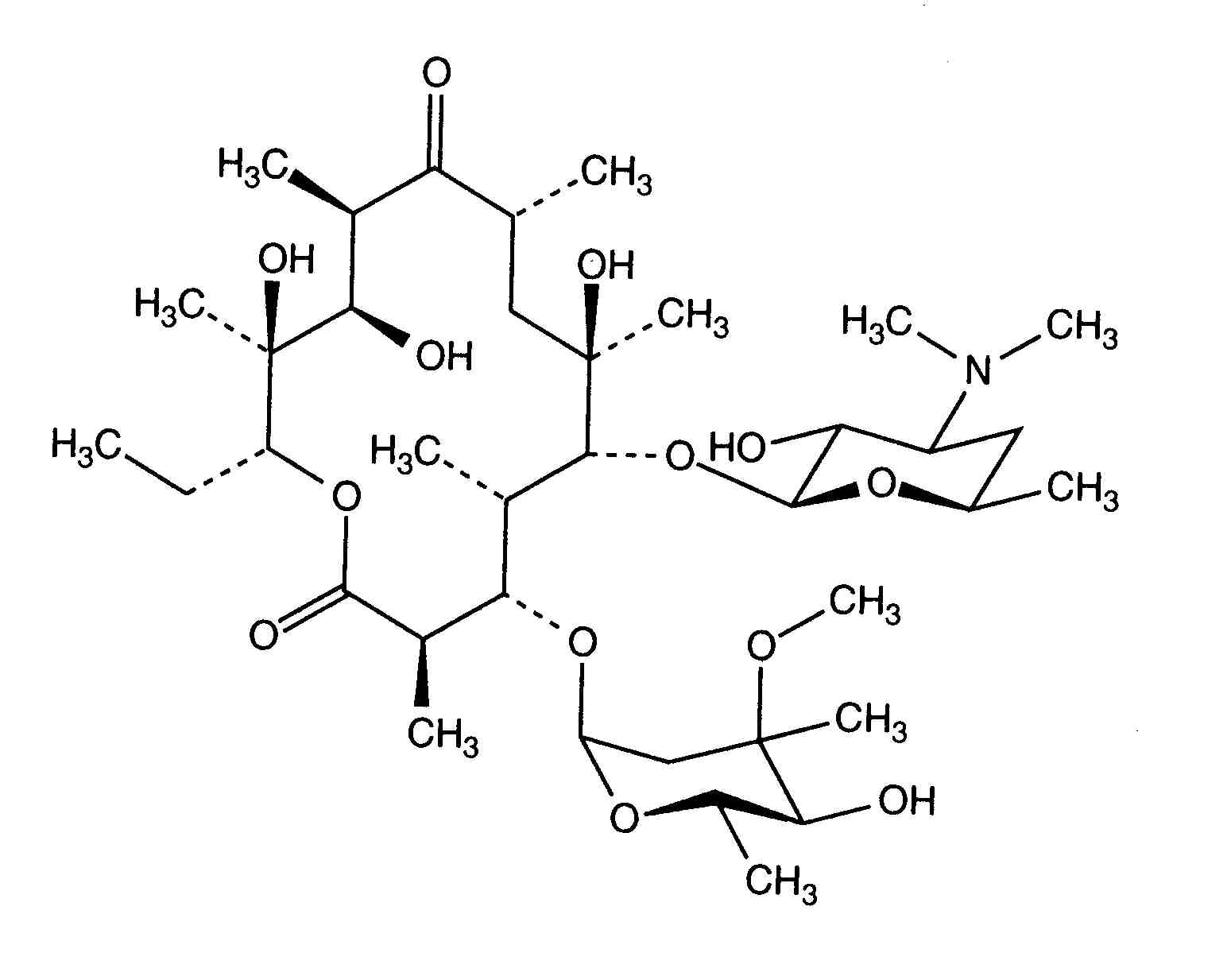
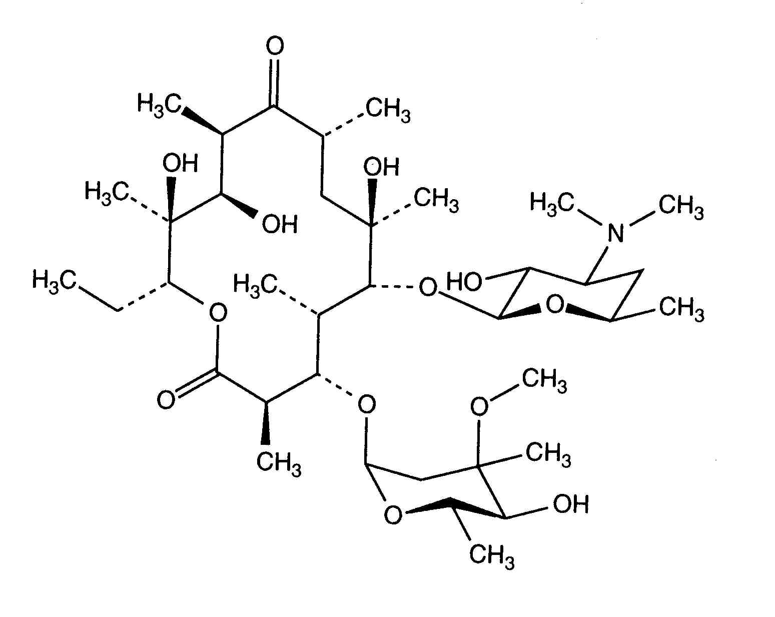
   Chemische Struktur  

Handelsmarke   Handelsmarke     

Handelsnamen sind als beispielhaft anzusehen. Sonstige Bestandteile können je nach Hersteller oder Land verschieden sein

Abboticin Dänemark, Finnland, Norwegen, Schweden
Eristin Argentinien
Erithromicina Chile
Erycinum Deutschland
Erythrocin Australien, Deutschland, Großbritannien, Irland, Kanada, Neuseeland, Österreich, Saudi-Arabien, Vereinigte Staaten von Amerika
Erythrocin lactobionat ADD Vantage Australien, Österreich
Erythrocine Belgien, Frankreich, Luxemburg, Niederlande, Tunesien
Erythromycin Deutschland, Großbritannien, Saudi-Arabien, Ungarn, Vereinigte Staaten von Amerika
Erythromycine Luxemburg
Erythromycinum Polen
Pantomicina Chile, Spanien

Stabilitätbeeinflussende Faktoren   Injektion   Stabilitätbeeinflussende Faktoren : Erythromycin lactobionate        
Literaturverzeichnis
pH pH >10 Führt zu Degradation 20
pH 7,5 < pH < 8 Führt zu Stabilitätssteigerung 1153
pH pH < 5,5 Führt zu Degradation 20

  Mentions Légales