Última actualización :
18/03/2026
Antiepiléptico   Fosphenytoin sodium  
Inyectables
Estabilidad en solucion Estabilidad en mezcla Factores que influyen sobre la estabilidad Compatibilidades método de inyección Bibliografía pdf
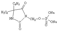
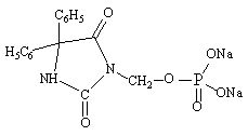
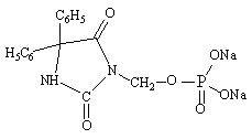
   Estructura química  

Nombre comercial   Nombre comercial     

Los nombres comerciales son orientativos y los excipientes de la formulación pueden ser distintos dependiendo del país y del laboratorio fabricante.

Cerebryx Canadá, Estados Unidos de América
Fosphen India
Fostoin Japón
Pro - Epanutin Austria, Dinamarca, Finlandia, Gran Bretaña, Irlanda, Islandia, Luxemburgo, Noruega, Países Bajos, Suecia
Prodilantin Austria, Dinamarca, Estados Unidos de América, Finlandia, Francia, Grecia, Hungría, Irlanda, Islandia, Japón, Países Bajos, Polonia
Sesquient Estados Unidos de América
Estabilidad en mezcla   Inyectables   Estabilidad en mezcla : Fosphenytoin sodium     
Envase Solvente Concentración Molécula Temperatura Conservación Duración de la estabilidad Bibliografía
Vidrio Cloruro de sodio 0,9% 5 mg/ml
Inyectables   Fosphenytoin sodium   
Inyectables   Lorazepam 1 mg/ml
25°C
8 Hora
No precisada 1419
Vidrio Cloruro de sodio 0,9% 5 mg/ml
Inyectables   Fosphenytoin sodium   
Inyectables   Phenobarbital sodium 65 mg/ml
25°C
8 Hora
No precisada 1412

  Mentions Légales