Última actualização :
27/11/2025
Antiepiléptico   Fosphenytoin sodium  
injetável
Estabilidade em soluções simples Estabilidade em misturas Factores que afectam a sua estabilidade Compatibilidade Método de administração Bibliografía pdf
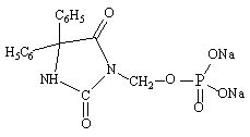
   estrutura química  

Nomes comerciais nos diversos países   Nomes comerciais nos diversos países     

OS NOMES COMERCIAIS SÃO INDICATIVOS E OS EXCIPIENTES DA FORMULAÇÃO PODEM SER DIFERENTES CONFORME O PAÍS E FABRICANTE.

Cerebryx Canadá, Estados Unidos de América
Fosphen Índia
Fostoin Japón
Pro - Epanutin Austria, Dinamarca, Finlandia, Gran-bretanha, Irlanda, Islandia, Luxemburgo, Noruega, Países Baixos, Suècia
Prodilantin Austria, Dinamarca, Estados Unidos de América, Finlandia, França, Grècia, Hungria, Irlanda, Islandia, Japón, Países Baixos, Polonia
Sesquient Estados Unidos de América
Estabilidade em misturas   injetável   Estabilidade em misturas : Fosphenytoin sodium     
Embalagem Solvente concentração molécula temperatura conservação Duração da estabilidade Bibliografia
vidro cloreto de sódio 0,9% 5 mg/ml
injetável   Fosphenytoin sodium   
injetável   Lorazepam 1 mg/ml
25°C
8 hora
no especificado 1419
vidro cloreto de sódio 0,9% 5 mg/ml
injetável   Fosphenytoin sodium   
injetável   Phenobarbital sodium 65 mg/ml
25°C
8 hora
no especificado 1412

  Mentions Légales