Viimeisin päivitys :
18/03/2026
Epilepsialääkkeet   Fosphenytoin sodium  
Injektioneste
Stabilius liuoksessa Stabilius seoksissa Tekijät, jotka vaikuttavat stabiliuteen Yhteensopivuus Antotapa Viitteet pdf
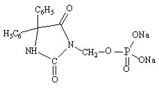
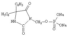
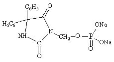
   Kemiallinen rakenne  

Kauppanimi   Kauppanimi     

Trade names are indicative and excipients composition can be different depending on the country and manufacturers

Cerebryx Kanada, Yhdysvallat
Fosphen Intia
Fostoin Japani
Pro - Epanutin Hollanti, Irlanti, Islanti, Iso-Britannia, Itävalta, Luxemburg, Norja, Ruotsi, Suomi, Tanska
Prodilantin Hollanti, Irlanti, Islanti, Itävalta, Japani, Kreikka, Puola, Ranska, Suomi, Tanska, Unkari, Yhdysvallat
Sesquient Yhdysvallat
Stabilius seoksissa   Injektioneste   Stabilius seoksissa : Fosphenytoin sodium     
Astia Liuotin Konsentraatio Yhdiste Lämpötila Säilytys Vakauden kesto Viitteet
Lasi Natriumkloridi 0,9% 5 mg/ml
Injektioneste   Fosphenytoin sodium   
Injektioneste   Lorazepam 1 mg/ml
25°C
8 tunti
Ei määritetty 1419
Lasi Natriumkloridi 0,9% 5 mg/ml
Injektioneste   Fosphenytoin sodium   
Injektioneste   Phenobarbital sodium 65 mg/ml
25°C
8 tunti
Ei määritetty 1412

  Mentions Légales