Zadnji put ažurirano :
27/11/2025
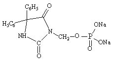
antiepileptik   Fosphenytoin sodium  
injekcija
Stabilizacija rješenja Stabilnost mješavine Stabilizacijski faktor Kompatibilnosti način davanja lijeka Bibliografija pdf
   Kemijska struktura  

Nekomercijalni   Nekomercijalni     

Zaštićeni nazivi su indikativni i sastav ekscipijensa može biti različit ovisno o državi i laboratorijima

Cerebryx Kanada, S A D
Fosphen Indija
Fostoin Japan
Pro - Epanutin Austrija, Danska, Finska, Irska, Island, Luksemburg, Nizozemska, Norveška, Švedska, Velika Britanija
Prodilantin Austrija, Danska, Finska, Francuska, Grčka, Irska, Island, Japan, Madžarska, Nizozemska, Poljska, S A D
Sesquient S A D
Stabilnost mješavine   injekcija   Stabilnost mješavine : Fosphenytoin sodium     
Kontejner sredstvo za rastapanje koncentracija molekula temperatura Konzerviranje Trajanje stabilnosti Bibliografija
čaša natrijumkorid 0,9% 5 mg/ml
injekcija   Fosphenytoin sodium   
injekcija   Lorazepam 1 mg/ml
25°C
8 sat
nespecifičan 1419
čaša natrijumkorid 0,9% 5 mg/ml
injekcija   Fosphenytoin sodium   
injekcija   Phenobarbital sodium 65 mg/ml
25°C
8 sat
nespecifičan 1412

  Mentions Légales