Τελευταία ενημέρωση :
27/11/2025
Αντιεπιληπτικό   Fosphenytoin sodium  
Ενέσιμο
Σταθερότητα διαλυμάτων Σταθερότητα σε μίγματα Παράγοντας που επηρεάζει τη σταθερότητα Συμβατότητες Τρόπος χορήγησης Βιβλιογραφία pdf
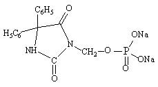
   χημική δομή  

Εμπορική ονομασία   Εμπορική ονομασία     

Οι εμπορικές ονομασίες είναι ενδεικτικές και η σύνθεση των εκδόχων μπορεί να διαφέρει ανάλογα με τη χώρα και τα εργαστήρια

Cerebryx Η.Π.Α., Καναδάς
Fosphen Ινδία
Fostoin Ιαπωνία
Pro - Epanutin Αυστρία, Δανία, Ιρλανδία, Ισλανδία, Λουξεμβούργο, Μεγάλη Βρετανία, Νορβηγία, Ολλανδία, Σουηδία, Φινλανδία
Prodilantin Αυστρία, Γαλλία, Δανία, Ελλάδα, Η.Π.Α., Ιαπωνία, Ιρλανδία, Ισλανδία, Ολλανδία, Ουγγαρία, Πολωνία, Φινλανδία
Sesquient Η.Π.Α.
Σταθερότητα σε μίγματα   Ενέσιμο   Σταθερότητα σε μίγματα : Fosphenytoin sodium     
Υποδοχέας Διαλυτικό Συγκέντρωση Συστατικό Θερμοκρασία Αποθήκευση Διάρκεια σταθερότητας Βιβλιογραφία
Ύαλος Χλωριούχο νάτριο 0,9% 5 mg/ml
Ενέσιμο   Fosphenytoin sodium   
Ενέσιμο   Lorazepam 1 mg/ml
25°C
8 Ώρα
Απροσδιόριστο 1419
Ύαλος Χλωριούχο νάτριο 0,9% 5 mg/ml
Ενέσιμο   Fosphenytoin sodium   
Ενέσιμο   Phenobarbital sodium 65 mg/ml
25°C
8 Ώρα
Απροσδιόριστο 1412

  Mentions Légales