Ultimo aggiornamento :
27/11/2025
Antiepilettico   Fosphenytoin sodium  
Iniezione
Stabilità in soluzione Stabilità in miscela Fattori che influenzano la stabilità Compatibilità metodo di iniezione Bibliografia pdf
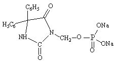
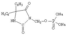
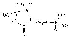
   Struttura chimica  

Nome commerciale   Nome commerciale     

Trade names are indicative and excipients composition can be different depending on the country and manufacturers

Cerebryx Canada, Stati Uniti d’America
Fosphen India
Fostoin Giappone
Pro - Epanutin Austria, Danimarca, Finlandia, Gran Bretagna, Irlanda, Islanda, Lussemburgo, Norvegia, Paesi Bassi, Svezia
Prodilantin Austria, Danimarca, Finlandia, Francia, Giappone, Grecia, Irlanda, Islanda, Paesi Bassi, Polonia, Stati Uniti d’America, Ungheria
Sesquient Stati Uniti d’America
Stabilità in miscela   Iniezione   Stabilità in miscela : Fosphenytoin sodium     
contenitore Solvente Concentrazione Molecola Temperatura Conservazione Durata della stabilità Bibliografia
Vetro Cloruro di sodio 0,9% 5 mg/ml
Iniezione   Fosphenytoin sodium   
Iniezione   Lorazepam 1 mg/ml
25°C
8 Ora
Non precisata 1419
Vetro Cloruro di sodio 0,9% 5 mg/ml
Iniezione   Fosphenytoin sodium   
Iniezione   Phenobarbital sodium 65 mg/ml
25°C
8 Ora
Non precisata 1412

  Mentions Légales