Laatste update :
27/11/2025
Anti-epilepticum   Fosphenytoin sodium  
injecteerbaar geneesmiddel
Stabiliteit in oplossing Stabiliteit in mengsels Factoren die de stabiliteit beïnvloeden Verenigbaarheden Toedieningswijze Literatuur pdf
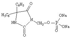
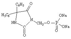
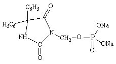
   Molecuulstructuur  

Merknamen in verschillende landen   Merknamen in verschillende landen     

Handelsnamen zijn slechts een indicatie; de samenstelling van hulpstoffen kan per land variëren afhankelijk van de fabrikant

Cerebryx Canada, USA
Fosphen Indië
Fostoin Japan
Pro - Epanutin Denemarken, Finland, Groot Britannië, Ierland, IJsland, Luxemburg, Nederland, Noorwegen, Oostenrijk, Zweden
Prodilantin Denemarken, Finland, Frankrijk, Griekenland, Hongarije, Ierland, IJsland, Japan, Nederland, Oostenrijk, Polen, USA
Sesquient USA
Stabiliteit in mengsels   injecteerbaar geneesmiddel   Stabiliteit in mengsels : Fosphenytoin sodium     
Verpakking Oplosmiddel Concentratie Stof Temperatuur Bewaring Duur van de stabiliteit Literatuur
Glas Natriumchloride 0,9% 5 mg/ml
injecteerbaar geneesmiddel   Fosphenytoin sodium   
injecteerbaar geneesmiddel   Lorazepam 1 mg/ml
25°C
8 Uur
Niet gespecificeerd 1419
Glas Natriumchloride 0,9% 5 mg/ml
injecteerbaar geneesmiddel   Fosphenytoin sodium   
injecteerbaar geneesmiddel   Phenobarbital sodium 65 mg/ml
25°C
8 Uur
Niet gespecificeerd 1412

  Mentions Légales