Последно актуализиране :
18/03/2026
Антиепилептик   Fosphenytoin sodium  
Инжекция/Инжекционен
Стабилност на разтвори Стабилност на смеси Фактори, повлияващи стабилността Съвместимост Път на въвеждане Библиография Pdf
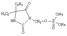
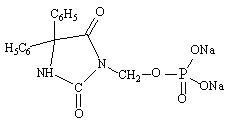
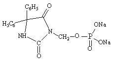
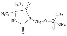
   Химична структура  

Търговско наименование   Търговско наименование     

Търговските имена са примерни и съставът на помощните вещества може да бъде различен в зависимост от държавата и лабораториите

Cerebryx Канада, Съединени Американски щати / САЩ
Fosphen Индия
Fostoin Япония
Pro - Epanutin Австрия, Великобритания, Дания, Ирландия, Исландия, Люксенбург, Норвегия, Финландия, Холандия, Швеция
Prodilantin Австрия, Гърция, Дания, Ирландия, Исландия, Полша, Съединени Американски щати / САЩ, Унгария, Финландия, Франция, Холандия, Япония
Sesquient Съединени Американски щати / САЩ
Стабилност на смеси   Инжекция/Инжекционен   Стабилност на смеси : Fosphenytoin sodium     
Контейнер Разтворител Концентрация Състав / молекула Температура Съхранение Продължителност на стабилността Библиография
Стъкло Sodium chloride 0,9% 5 mg/ml
Инжекция/Инжекционен   Fosphenytoin sodium   
Инжекция/Инжекционен   Lorazepam 1 mg/ml
25°C
8 Час
Не е уточнено 1419
Стъкло Sodium chloride 0,9% 5 mg/ml
Инжекция/Инжекционен   Fosphenytoin sodium   
Инжекция/Инжекционен   Phenobarbital sodium 65 mg/ml
25°C
8 Час
Не е уточнено 1412

  Mentions Légales