viimane versioon :
27/11/2025
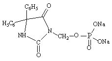
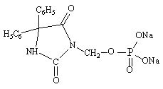
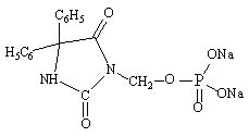
antiepileptikum   Fosphenytoin sodium  
Süsteravim
Stabiilsus lahustes Stabiilsust mõjutavad tegurid stabiilsust mõjutavad faktorid Sobimatus Manustamis viis Viited pdf
   keemiline struktuur  

Kaubanduslikud nimed erinevates maades   Kaubanduslikud nimed erinevates maades     

Preparaatide nimed on näitlikud ja abianete sisaldus võib erineda sõltuvalt riigist ja laborist

Cerebryx Ameerika ühendriigid, Kanada
Fosphen India
Fostoin Jaapan
Pro - Epanutin Austria, Holland, Iirimaa, Island, Luksemburg, Norra, Rootsi, Soome, Suurbritannia, Taani
Prodilantin Ameerika ühendriigid, Austria, Holland, Iirimaa, Island, Jaapan, Kreeka, Poola, Prantsusmaa, Soome, Taani, Ungari
Sesquient Ameerika ühendriigid
Stabiilsust mõjutavad tegurid   Süsteravim   Stabiilsust mõjutavad tegurid : Fosphenytoin sodium     
konteiner lahusti kontsentratsioon ingredient temperatuur ladustamine Stabiilsuse kestus Viited
klaas naatriumkloriid 0.9% 5 mg/ml
Süsteravim   Fosphenytoin sodium   
Süsteravim   Lorazepam 1 mg/ml
25°C
8 Tund
pole täpsustatud 1419
klaas naatriumkloriid 0.9% 5 mg/ml
Süsteravim   Fosphenytoin sodium   
Süsteravim   Phenobarbital sodium 65 mg/ml
25°C
8 Tund
pole täpsustatud 1412

  Mentions Légales