Seneste opdatering :
27/11/2025
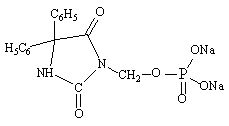
Antiepileptisk   Fosphenytoin sodium  
Injektion
Stabilitet i (vandige) opløsninger Stabilitet i blandinger Faktorer der påvirker stabiliteten Kompatibilitet Administrationsvej Bibliografi pdf
   Kemisk struktur  

Handelsnavn   Handelsnavn     

Handel navne er vejledende og hjælpestoffer sammensætning kan være forskellig afhængigt af landet og laboratorier

Cerebryx Canada, USA
Fosphen Indien
Fostoin Japan
Pro - Epanutin Danmark, Finland, Holland, Irland, Island, Luxemborg, Norge, Storbritanien, Sverige, Østrig
Prodilantin Danmark, Finland, Frankrig, Grækenland, Holland, Irland, Island, Japan, Polen, Ungarn, USA, Østrig
Sesquient USA
Stabilitet i blandinger   Injektion   Stabilitet i blandinger : Fosphenytoin sodium     
Beholder Opløsningsmiddel Koncentration Molekyle Temperatur Konservering Varighed af stabilitet Bibliografi
Glas 0,9 % Natriumklorid 5 mg/ml
Injektion   Fosphenytoin sodium   
Injektion   Lorazepam 1 mg/ml
25°C
8 Time
Ikke nærmere angivet 1419
Glas 0,9 % Natriumklorid 5 mg/ml
Injektion   Fosphenytoin sodium   
Injektion   Phenobarbital sodium 65 mg/ml
25°C
8 Time
Ikke nærmere angivet 1412

  Mentions Légales