Siste oppdatering :
18/03/2026
Antiepileptika   Fosphenytoin sodium  
Injeksjon
Oppløsningsstabilitet Stabilitet i blandinger Faktorer som påvirker stabiliteten Kompatibilitet Administrasjonsmåte Referanser pdf
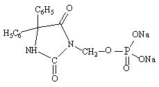
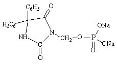
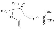
   Kjemisk struktur  

Handelsnavn   Handelsnavn     

Handelsnavn er veiledende og sammensetning av hjelpestoffer kan være forskjellig avhengig av land og produsent

Cerebryx Canada, USA
Fosphen India
Fostoin Japan
Pro - Epanutin Danmark, Finland, Irland, Island, Luxembourg, Nederland, Norge, Storbritannia, Sverige, Østerrike
Prodilantin Danmark, Finland, Frankrike, Hellas, Irland, Island, Japan, Nederland, Polen, Ungarn, USA, Østerrike
Sesquient USA
Stabilitet i blandinger   Injeksjon   Stabilitet i blandinger : Fosphenytoin sodium     
Beholder Oppløsningsmiddel Konsentrasjon Legemiddel Temperatur Oppbevaring Varighet av stabilitet Referanser
Glass Natriumklorid 0,9 % 5 mg/ml
Injeksjon   Fosphenytoin sodium   
Injeksjon   Lorazepam 1 mg/ml
25°C
8 Tid
Ikke angitt 1419
Glass Natriumklorid 0,9 % 5 mg/ml
Injeksjon   Fosphenytoin sodium   
Injeksjon   Phenobarbital sodium 65 mg/ml
25°C
8 Tid
Ikke angitt 1412

  Mentions Légales