Senaste uppdateringen :
31/03/2026
Muskel avslappande medel   Cisatracurium besylate  
injektion
Lösningars stabilitet Stabilitet i blandningar Faktorer som påverkar stabiliteten Kompatibilitet Administreringssätt Hänvisningar pdf
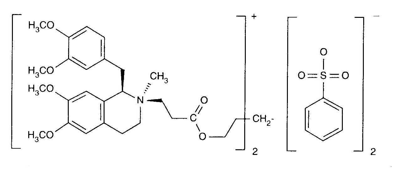
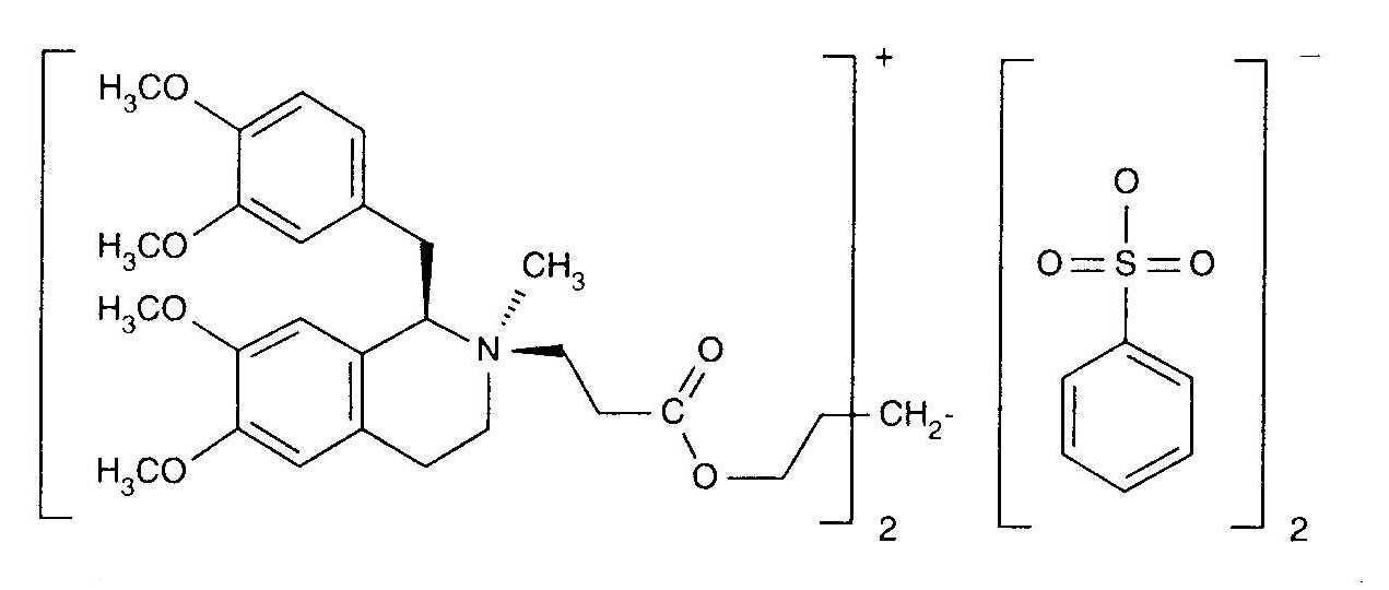
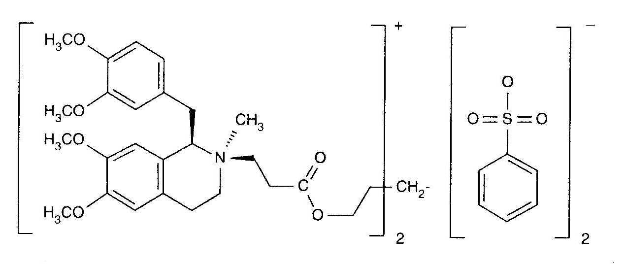
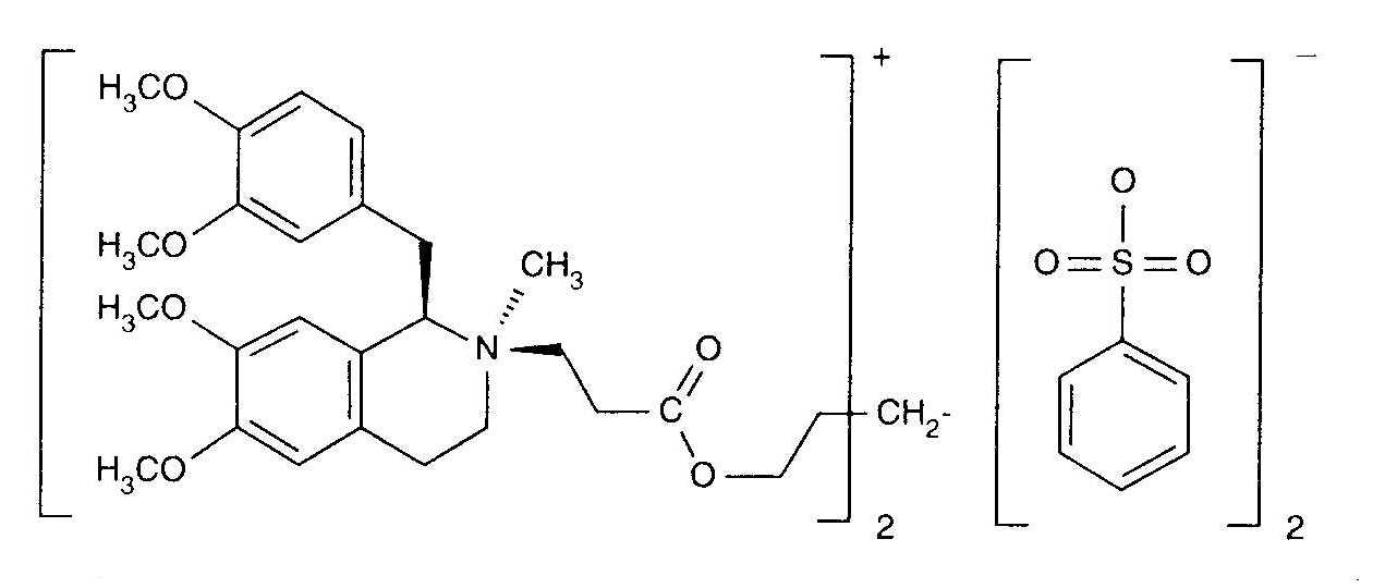
   Molekylstruktur  

Varunamn   Varunamn     

Angivna handelsnamn på läkemedel är enbart vägledande då formulering inklusive hjälpämnen kan variera mellan länder och tillverkare

Bensitrak Mexiko
Besilato de cisatracurio
Cicuryl Mexiko
Cirium Colombia
Cis Atracure
Cisatracurio Brasilien, Chile, Colombia, Ecuador, Italien, Peru, Spanien
Cisatracurium Belgien, Finland, Frankrike, Irland, Kanada, Storbritannien, Tunisien, Tyskland, Ungern
Nimbex Belgien, Chile, Danmark, Ecuador, Egypten, Finland, Förenade Arabemiraten, Förenta Staterna, Frankrike, Grekland, Iran, Irland, Italien, Kanada, Luxemburg, Malaysia, Mexiko, Nederländerna, Norge, Österrike, Peru, Polen, Portugal, Saudi-Arabien, Slovenien, Spanien, Storbritannien, Sverige, Tunisien, Turkiet, Tyskland, Ungern, Venezuela
Nimbium Brasilien, Colombia
Stabilitet i blandningar   injektion   Stabilitet i blandningar : Cisatracurium besylate     
Behållare Lösningsmedel Koncentration Substans Temperatur Förvaring Stabilitets varaktighet Hänvisningar
Glas Glukos 5 % 0.26 mg/ml
injektion   Cisatracurium besylate   
injektion   Palonosetron hydrochloride 25.4 µg/ml
25°C
4 Timma
Ej angiven 2227
Evidensnivå A+

  Mentions Légales