最新更新 :
31/03/2026
クラーレ様薬   Cisatracurium besylate  
注射薬
溶媒内の安定性 混合時の安定性 安定性に影響する因子 互換性 投与経路 引用文献 PDF
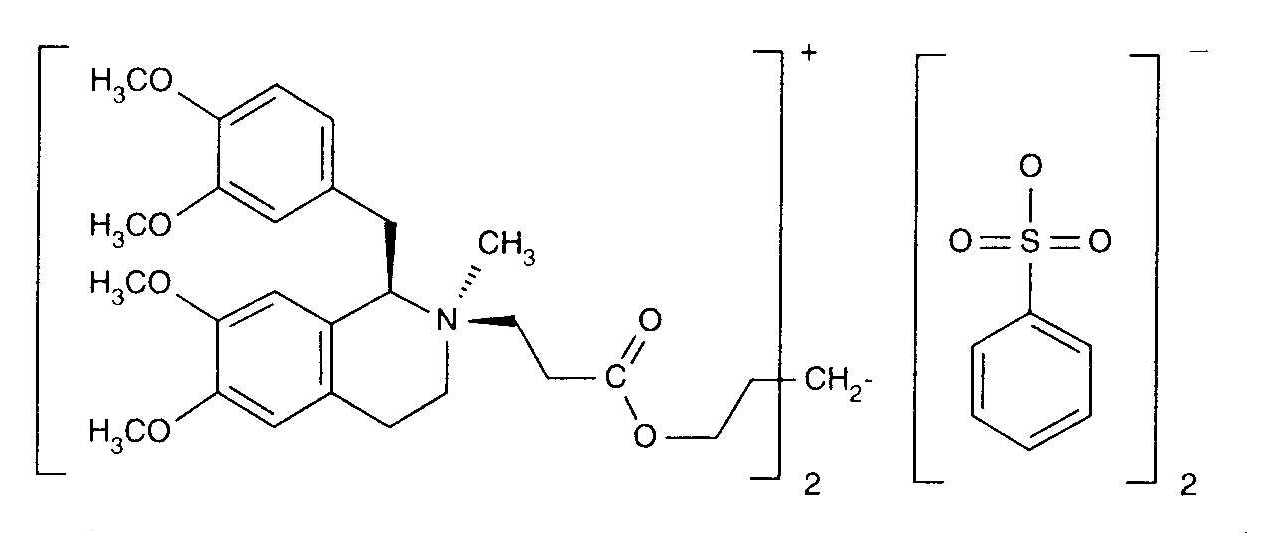
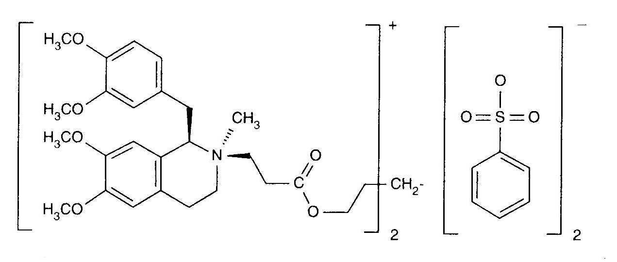
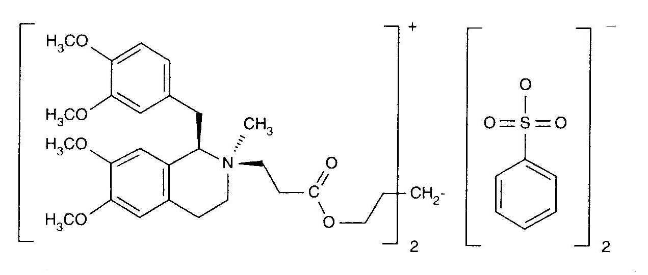
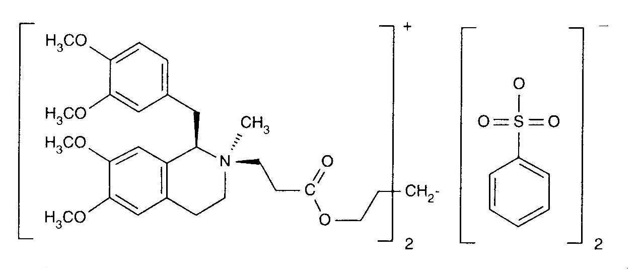
   化学構造  

商品名   商品名     

商品名、賦形剤は国、製薬会社ごとに異なることがあります

Bensitrak メキシコ
Besilato de cisatracurio
Cicuryl メキシコ
Cirium コロンビア
Cis Atracure
Cisatracurio イタリア, エクアドル, コロンビア, スペイン, チリ, ブラジル, ペルー
Cisatracurium アイルランド, イギリス, カナダ, チュニジア, ドイツ, ハンガリー, フィンランド, フランス, ベルギー
Nimbex アイルランド, アメリカ, アラブ首長国連邦, イギリス, イタリア, イラン, エクアドル, エジプト, オランダ, オーストリア, カナダ, ギリシア, サウジアラビア, スウェーデン, スペイン, スロベニア, チュニジア, チリ, デンマーク, トルコ, ドイツ, ノルウェー, ハンガリー, フィンランド, フランス, ベネズエラ, ベルギー, ペルー, ポルトガル, ポーランド, マレーシア, メキシコ, ルクセンブルグ
Nimbium コロンビア, ブラジル
混合時の安定性   注射薬   混合時の安定性 : Cisatracurium besylate     
容器 溶媒 濃度 化合物 温度 保管 安定期間 引用文献
ガラス グルコース5% 0.26 mg/ml
注射薬   Cisatracurium besylate   
注射薬   Palonosetron hydrochloride 25.4 µg/ml
25°C
4 時間
特記なし 2227
エビデンスレベル A+

  Mentions Légales