Ultimele actualizari :
31/03/2026
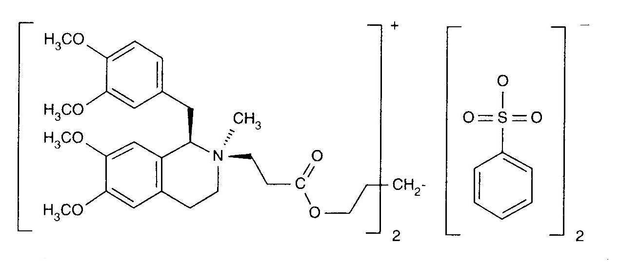
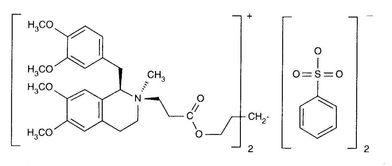
Curarizant   Cisatracurium besylate  
Injectabil
Stabilitatea in solutie Stabilitatea in amestec Factorii care influenteaza stabilitatea Compatibilitate Microunde Bibliografie pdf
   Formula chimica  

Denumirea comerciala   Denumirea comerciala     

Trade names are indicative and excipients composition can be different depending on the country and manufacturers

Bensitrak Mexic
Besilato de cisatracurio
Cicuryl Mexic
Cirium Columbia
Cis Atracure
Cisatracurio Brazilia, Chilli, Columbia, Ecuador, Italia, Peru, Spania
Cisatracurium Belgia, Canada, Finlanda, Franta, Germania, Irlanda, Marea Britanie, Tunisia, Ungaria
Nimbex Arabia Saudita, Austria, Belgia, Canada, Chilli, Danemarca, Ecuador, Egipt, Emiratele Arabe Unite, Finlanda, Franta, Germania, Grecia, Iran, Irlanda, Italia, Luxemburg, Malaezia, Marea Britanie, Mexic, Norvegia, Olanda, Peru, Polonia, Portugalia, Slovenia, Spania, SUA, Suedia, Tunisia, Turcia, Ungaria, Venezuela
Nimbium Brazilia, Columbia
Stabilitatea in amestec   Injectabil   Stabilitatea in amestec : Cisatracurium besylate     
Continut Solvent Concentratie Molecula (substanta activa) Temperatura Conservare Durata stabilității Bibiografie
sticla Glucoza 5% 0.26 mg/ml
Injectabil   Cisatracurium besylate   
Injectabil   Palonosetron hydrochloride 25.4 µg/ml
25°C
4 Ora
Neprecizat 2227
Nivel de evidență A+

  Mentions Légales