Última actualización :
31/03/2026
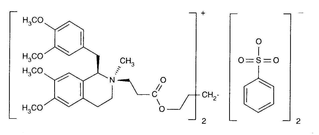
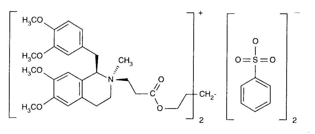
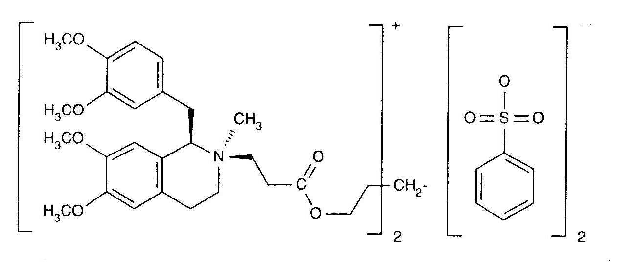
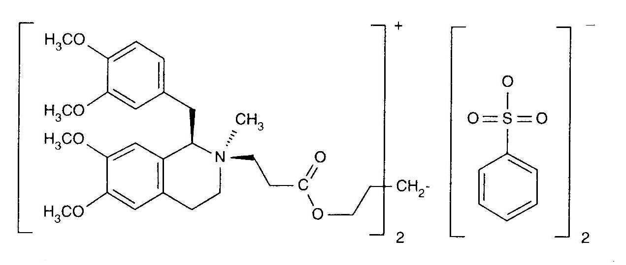
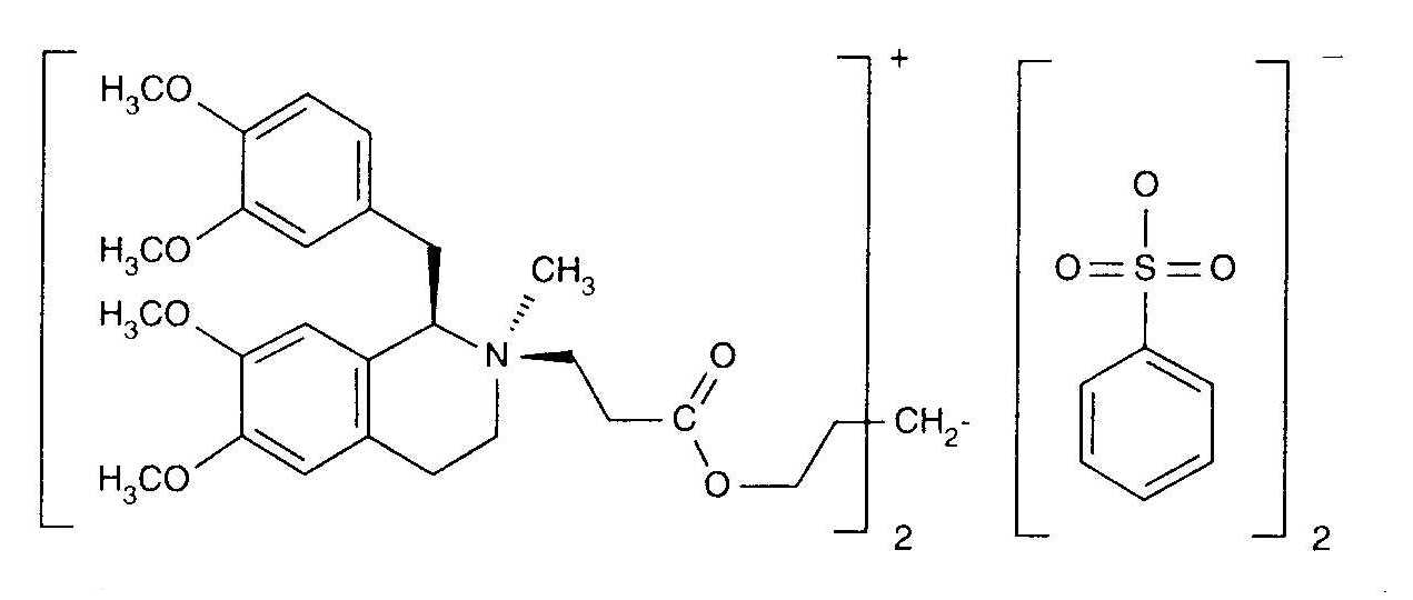
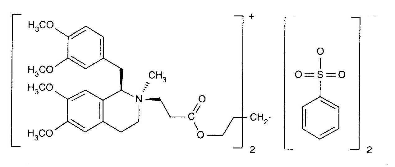
Curarizante   Cisatracurium besylate  
Inyectables
Estabilidad en solucion Estabilidad en mezcla Factores que influyen sobre la estabilidad Compatibilidades método de inyección Bibliografía pdf
   Estructura química  

Nombre comercial   Nombre comercial     

Los nombres comerciales son orientativos y los excipientes de la formulación pueden ser distintos dependiendo del país y del laboratorio fabricante.

Bensitrak México
Besilato de cisatracurio
Cicuryl México
Cirium Colombia
Cis Atracure
Cisatracurio Brasil, Chile, Colombia, Ecuador, España, Italia, Marruecos
Cisatracurium Alemania, Bélgica, Canadá, Finlandia, Francia, Gran Bretaña, Hungría, Irlanda, Túnez
Nimbex Alemania, Arabia Saudita, Austria, Bélgica, Canadá, Chile, Dinamarca, Ecuador, Egipto, Emiratos Árabes Unidos, Eslovenia, España, Estados Unidos de América, Finlandia, Francia, Gran Bretaña, Grecia, Hungría, Irán, Irlanda, Italia, Luxemburgo, Malasia, Marruecos, México, Noruega, Países Bajos, Polonia, Portugal, Suecia, Túnez, Turquía, Venezuela
Nimbium Brasil, Colombia
Estabilidad en mezcla   Inyectables   Estabilidad en mezcla : Cisatracurium besylate     
Envase Solvente Concentración Molécula Temperatura Conservación Duración de la estabilidad Bibliografía
Vidrio Glucosa 5% 0.26 mg/ml
Inyectables   Cisatracurium besylate   
Inyectables   Palonosetron hydrochloride 25.4 µg/ml
25°C
4 Hora
No precisada 2227
Nivel de evidencia A+

  Mentions Légales