zadnja posodobitev :
31/03/2026
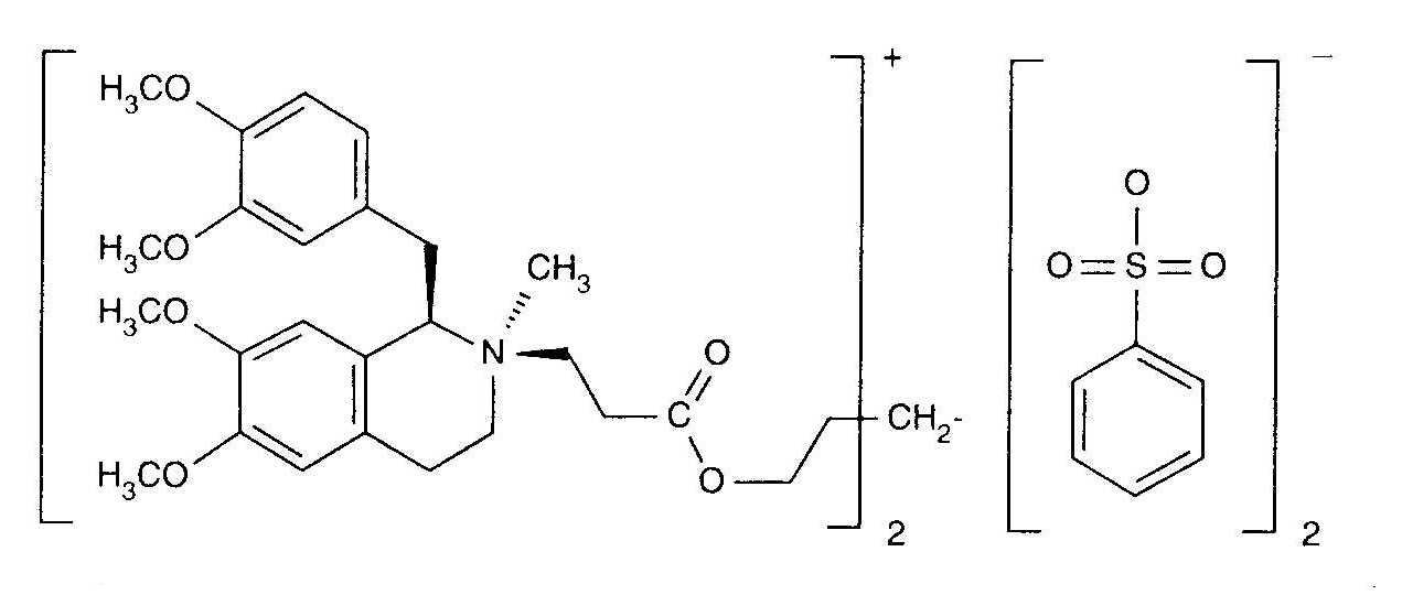
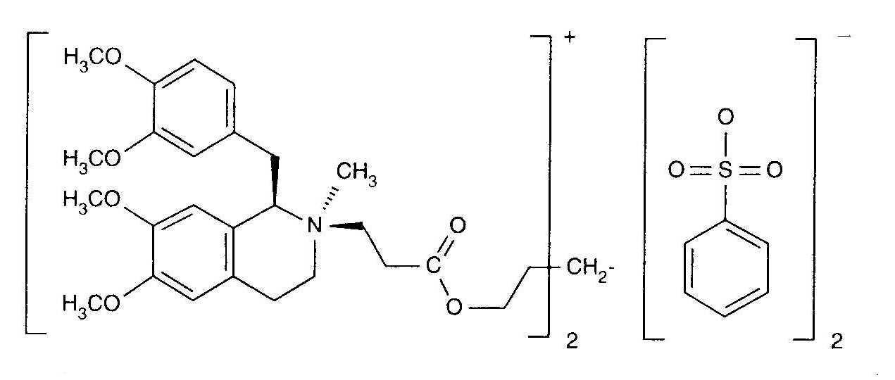
Kurarimetik   Cisatracurium besylate  
Brizgalka
Stabilnost raztopine Stabilnost mešanice Faktorji, ki vplivajo na stabilnost Kompatibilnost način aplikacije Viri pdf
   Kemična formula  

Lastniško ime   Lastniško ime     

Sestava pomožnih snovi je med paralelami lahko različna

Bensitrak Mehika
Besilato de cisatracurio
Cicuryl Mehika
Cirium Kolumbija
Cis Atracure
Cisatracurio Brazilija, Čile, Ekvador, Italija, Kolumbija, Peru, Španija
Cisatracurium Belgija, Finska, Francija, Irska, Kanada, Madžarska, Nemčija, Tunizija, Velika Britanija
Nimbex Avstrija, Belgija, Čile, Danska, Egipt, Ekvador, Finska, Francija, Grčija, Iran, Irska, Italija, Kanada, Luksemburg, Madžarska, Malezija, Mehika, Nemčija, Nizozemska, Norveška, Peru, Poljska, Portugalska, Savdska Arabija, Slovenija, Španija, Švedska, Tunizija, Turčija, Velika Britanija, Venezuela, Združene države Amerike, Združeni arabski emirati
Nimbium Brazilija, Kolumbija
Stabilnost mešanice   Brizgalka   Stabilnost mešanice : Cisatracurium besylate     
Vsebnik Topilo Koncentracija Sestava Temperatura Shranjevanje Trajanje stabilnosti Viri
Steklo Glukoza 5% 0.26 mg/ml
Brizgalka   Cisatracurium besylate   
Brizgalka   Palonosetron hydrochloride 25.4 µg/ml
25°C
4 čas
Nedoločeno 2227
 Stopnja dokaza A+

  Mentions Légales