Poslední aktualizace :
31/03/2026
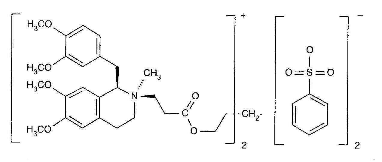
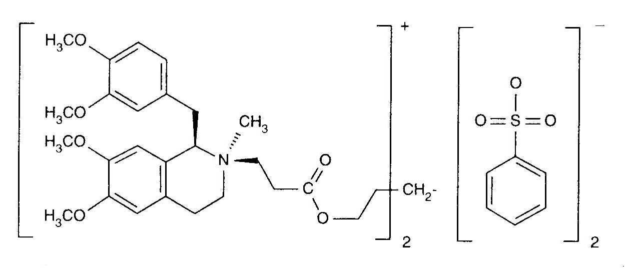
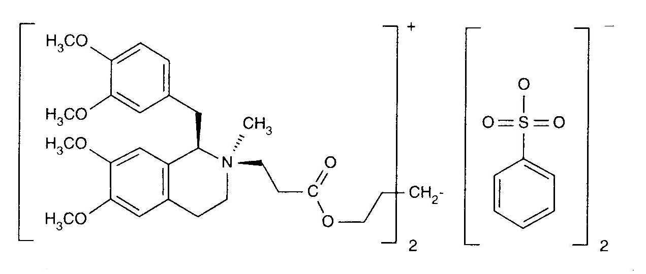
Kuraremimetický   Cisatracurium besylate  
injekce
Stabilita roztoků Stabilita směsí Faktory ovlivňující stabilitu Kompatibilita Způsoby aplikace Odkazy pdf
   Chemický vzorec  

Obchodní název   Obchodní název     

Trade names are indicative and excipients composition can be different depending on the country and manufacturers

Bensitrak Mexiko
Besilato de cisatracurio
Cicuryl Mexiko
Cirium Kolumbie
Cis Atracure
Cisatracurio äpanÏlsko, BrazÌlie, Chile, Ekvádor, Itálie, Kolumbie, Peru
Cisatracurium Belgie, Finsko, Francie, Irsko, Kanada, MaÔarsko, NÏmecko, Tunisko, Velká Británie
Nimbex äpanÏlsko, Belgie, Chile, Dánsko, Egypt, Ekvádor, Finsko, Francie, Írán, Irsko, Itálie, Kanada, Lucembursko, Malajsie, MaÔarsko, Mexiko, NÏmecko, Nizozemsko, Norsko, Peru, Polsko, Portugalsko, Rakousko, Saúdská Arábie, Slovinsko, Spojené arabské emiráty, Švédsko, Tunisko, Turecko, USA, Velká Británie, Venezuela, ÿecko
Nimbium BrazÌlie, Kolumbie
Stabilita směsí   injekce   Stabilita směsí : Cisatracurium besylate     
Obal RozpouötÏdlo Koncentrace SlouËenina Teplota Uchovávání Trvání stability Odkazy
Sklo GlukÛza 5% 0.26 mg/ml
injekce   Cisatracurium besylate   
injekce   Palonosetron hydrochloride 25.4 µg/ml
25°C
4 Hodina
Nespecifikováno 2227
Úroveň zkoušky A+

  Mentions Légales