Last update :
31/03/2026
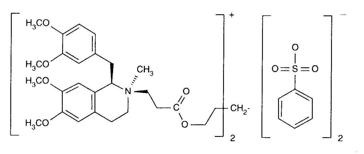
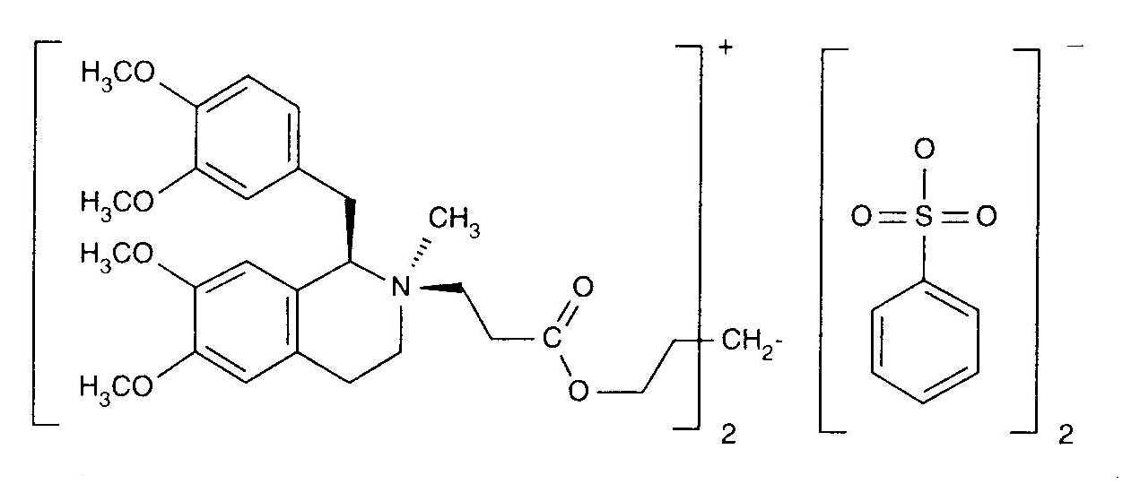
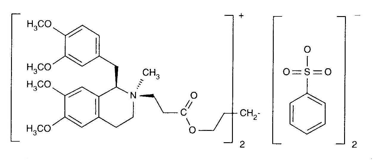
Curarimimetic   Cisatracurium besylate  
injection
Stability in solutions Stability of mixtures Factors which affect stability Compatibility Route of administration References pdf
   Chemical structure  

Tradename   Tradename     

Trade names are indicative and excipients composition can be different depending on the country and manufacturers

Bensitrak Mexico
Besilato de cisatracurio
Cicuryl Mexico
Cirium Colombia
Cis Atracure
Cisatracurio Brazil, Chile, Colombia, Ecuador, Italy, Peru, Spain
Cisatracurium Belgium, Canada, Finland, France, Germany, Great Britain, Hungary, Ireland, Tunisia
Nimbex Austria, Belgium, Canada, Chile, Denmark, Ecuador, Egypt, Finland, France, Germany, Great Britain, Greece, Hungary, Iran, Ireland, Italy, Luxembourg, Malaysia, Mexico, Netherlands, Norway, Peru, Poland, Portugal, Saudi Arabia, Slovenia, Spain, Sweden, Tunisia, Turkey, United Arab Emirates, United States of America, Venezuela
Nimbium Brazil, Colombia
Stability of mixtures   injection   Stability of mixtures : Cisatracurium besylate     
Container Solvent Concentration Compound Temperature Storage Duration of stability References
Glass Glucose 5% 0.26 mg/ml
injection   Cisatracurium besylate   
injection   Palonosetron hydrochloride 25.4 µg/ml
25°C
4 Hour
Not specified 2227
Level of evidence A+

  Mentions Légales