Zadnji put ažurirano :
31/03/2026
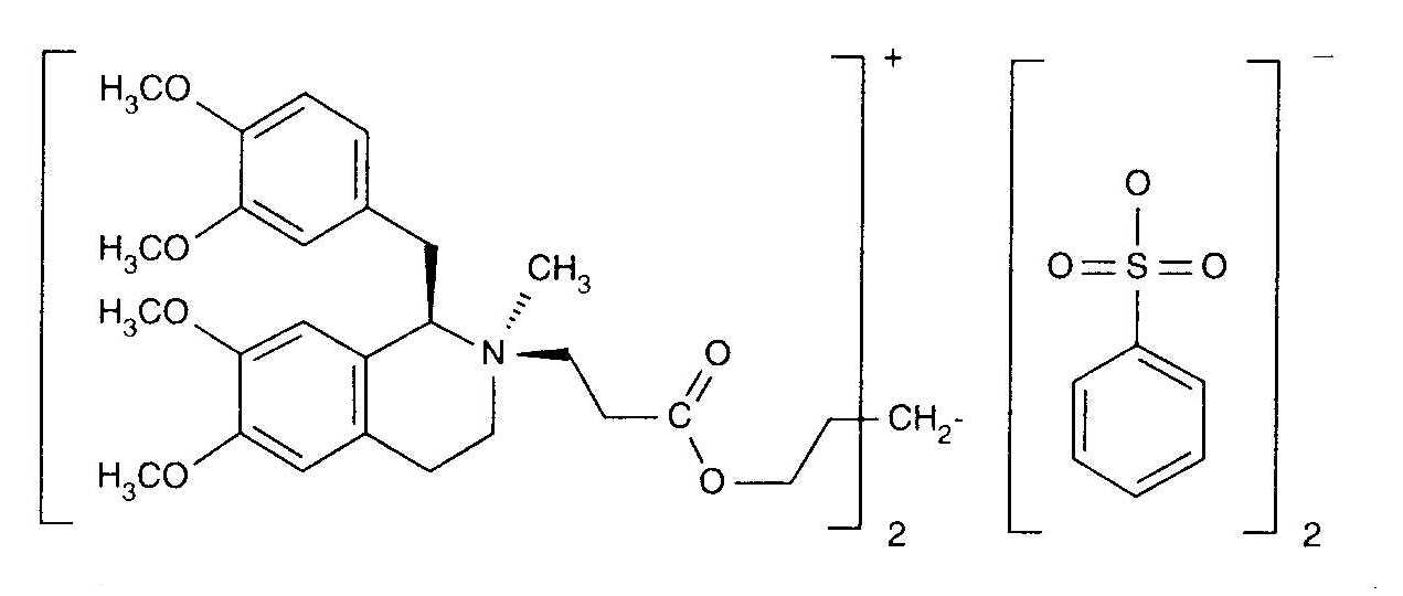
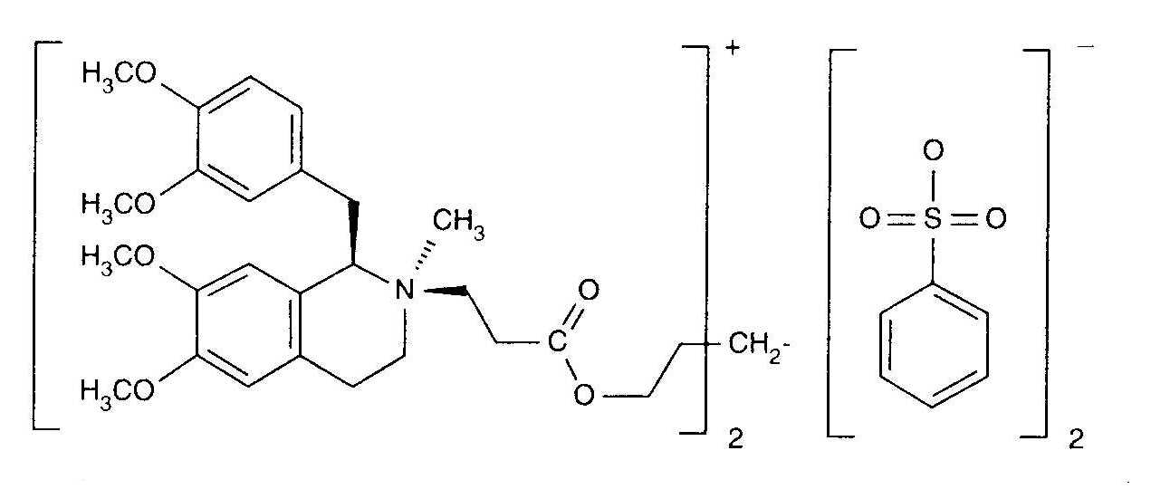
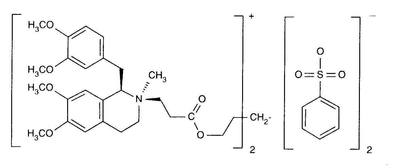
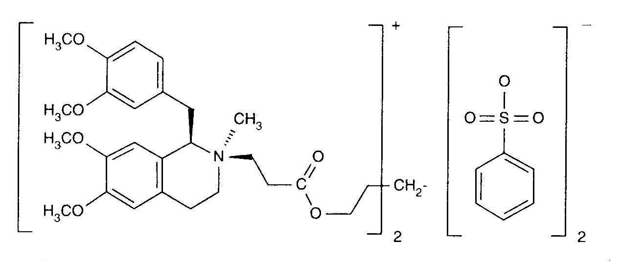
narkotizirajuće djelovanje pomoću kurarina   Cisatracurium besylate  
injekcija
Stabilizacija rješenja Stabilnost mješavine Stabilizacijski faktor Kompatibilnosti način davanja lijeka Bibliografija pdf
   Kemijska struktura  

Nekomercijalni   Nekomercijalni     

Zaštićeni nazivi su indikativni i sastav ekscipijensa može biti različit ovisno o državi i laboratorijima

Bensitrak Meksiko
Besilato de cisatracurio
Cicuryl Meksiko
Cirium Kolumbija
Cis Atracure
Cisatracurio Brazil, Čile, Ekvador, Italija, Kolumbija, Peru, Španjolska
Cisatracurium Belgija, Finska, Francuska, Irska, Kanada, Madžarska, Njemačka, Tunis, Velika Britanija
Nimbex Austrija, Belgija, Čile, Danska, Egipat, Ekvador, Finska, Francuska, Grčka, Iran, Irska, Italija, Kanada, Luksemburg, Madžarska, Malezija, Meksiko, Nizozemska, Njemačka, Norveška, Peru, Poljska, Portugal, S A D, Saudijska Arabija, Slovenija, Španjolska, Švedska, Tunis, Turska, Ujedinjeni Arapski Emirati, Velika Britanija, Venecuela
Nimbium Brazil, Kolumbija
Stabilnost mješavine   injekcija   Stabilnost mješavine : Cisatracurium besylate     
Kontejner sredstvo za rastapanje koncentracija molekula temperatura Konzerviranje Trajanje stabilnosti Bibliografija
čaša glukoza 5% 0.26 mg/ml
injekcija   Cisatracurium besylate   
injekcija   Palonosetron hydrochloride 25.4 µg/ml
25°C
4 sat
nespecifičan 2227
Razina dokaza A+

  Mentions Légales