Последно актуализиране :
31/03/2026
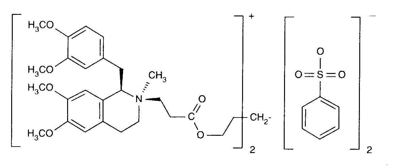
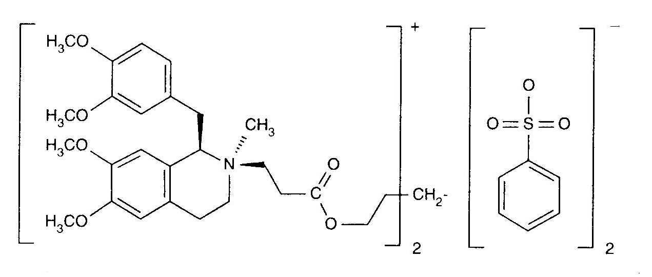
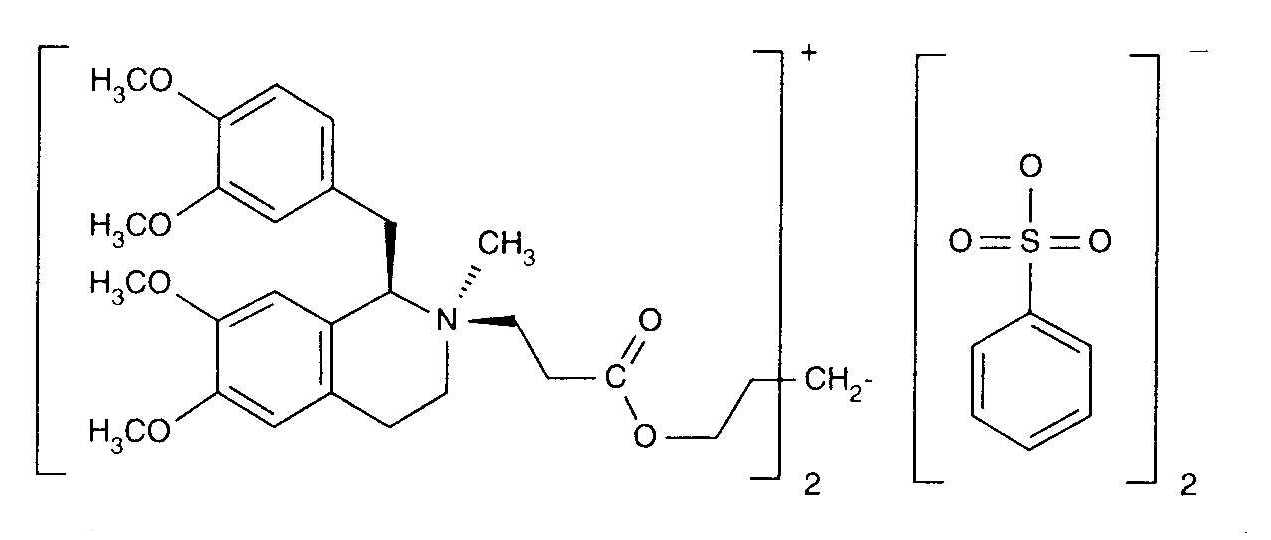
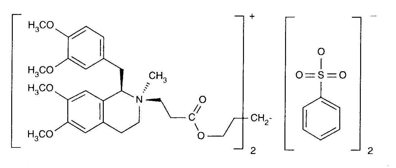
Кураре-миметик   Cisatracurium besylate  
Инжекция/Инжекционен
Стабилност на разтвори Стабилност на смеси Фактори, повлияващи стабилността Съвместимост Път на въвеждане Библиография Pdf
   Химична структура  

Търговско наименование   Търговско наименование     

Търговските имена са примерни и съставът на помощните вещества може да бъде различен в зависимост от държавата и лабораториите

Bensitrak Мексико
Besilato de cisatracurio
Cicuryl Мексико
Cirium Колумбия
Cis Atracure
Cisatracurio Бразилия, Еквадор, Испания, Италия, Колумбия, Перу, Чили
Cisatracurium Белгия, Великобритания, Германия, Ирландия, Канада, Тунис, Унгария, Финландия, Франция
Nimbex Австрия, Белгия, Великобритания, Венецуела, Германия, Гърция, Дания, Египет, Еквадор, Иран, Ирландия, Испания, Италия, Канада, Люксенбург, Малайзия, Мексико, Норвегия, Обединени арабски емирства, Перу, Полша, Португалия, Саудитска Арабия, Словения, Съединени Американски щати / САЩ, Тунис, Турция, Унгария, Финландия, Франция, Холандия, Чили, Швеция
Nimbium Бразилия, Колумбия
Стабилност на смеси   Инжекция/Инжекционен   Стабилност на смеси : Cisatracurium besylate     
Контейнер Разтворител Концентрация Състав / молекула Температура Съхранение Продължителност на стабилността Библиография
Стъкло Glucose 5% 0.26 mg/ml
Инжекция/Инжекционен   Cisatracurium besylate   
Инжекция/Инжекционен   Palonosetron hydrochloride 25.4 µg/ml
25°C
4 Час
Не е уточнено 2227
Степен на доказаност A+

  Mentions Légales