Posledná aktualizácia :
31/03/2026
kurarimimetikum/periférne myorelaxans   Cisatracurium besylate  
Injekcia
Stabilita roztokov Stabilita v zmesiach Faktory ovplyvňujúce stabilitu Kompatibility spôsob podania Odkazy na literatúru PDF
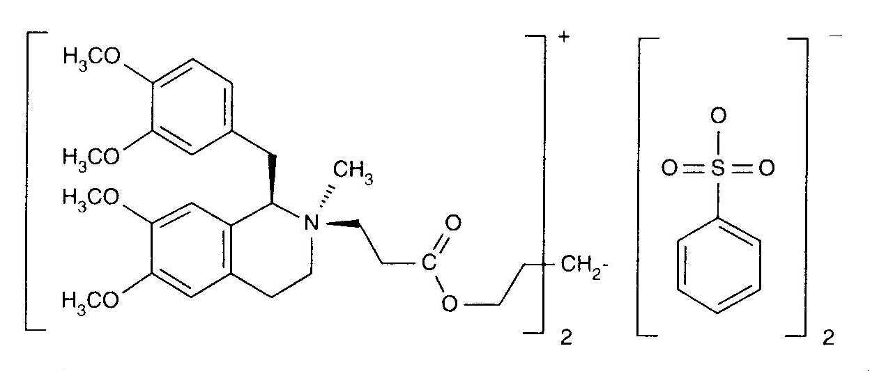
   Chemický vzorec  

Obchodný názov   Obchodný názov     

Obchodné názvy sú orientačné, a zloženie pomocných látok sa môže líšiť v závislosti od krajiny a výrobcu.

Bensitrak Mexiko
Besilato de cisatracurio
Cicuryl Mexiko
Cirium Kolumbia
Cis Atracure
Cisatracurio Brazília, Čile, Ekvádor, Kolumbia, peru, Španielsko, Taliansko
Cisatracurium Belgicko, Fínsko, Francúzsko, Írsko, Kanada, Maďarsko, Nemecko, Tunisko, Veľká Británia
Nimbex Belgicko, Čile, Dánsko, Egypt, Ekvádor, Fínsko, Francúzsko, Grécko, Holandsko, Irán, Írsko, Kanada, Luxembursko, Maďarsko, Malajzia, Mexiko, Nemecko, Nórsko, peru, Poľsko, Portugalsko, Rakúsko, Saudská Arábia, Slovinsko, Španielsko, Spojené arabské emiráty, Spojené štáty Americké, Švédsko, Taliansko, Tunisko, Turecko, Veľká Británia, Venezuela
Nimbium Brazília, Kolumbia
Stabilita v zmesiach   Injekcia   Stabilita v zmesiach : Cisatracurium besylate     
obal rozpúšťadlo koncentrácia Zlúčenina teplota uchovávanie Trvanie stability odkazy na lieteratúru
Sklo 5% glukóza 0.26 mg/ml
Injekcia   Cisatracurium besylate   
Injekcia   Palonosetron hydrochloride 25.4 µg/ml
25°C
4 hodín
nešpecifikované 2227
Úroveň dôkazov A+

  Mentions Légales