Son güncelleme :
18/03/2026
kanser ilaç   Etoposide phosphate  
Enjeksiyon
Çözeltilerin stabilitesi Karışımlardaki stabilitesi Stabiliteyi etkileyen faktörler Uyumluluk Uygulama yöntemi Kaynaklar pdf
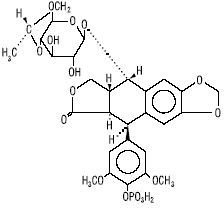
   Kimyasal yapı   

Ticari isim   Ticari isim     

Trade names are indicative and excipients composition can be different depending on the country and manufacturers

Etopofos Avusturya, İsveç, Yunanistan
Etopophos Almanya, Amerika Birleşik Devletleri, Belçika, Bulgaristan, Büyük Britanya, Fransa, Hollanda, İsrail, İsviçre, Lüksemburg, Polonya, yeni Zelanda
Çözeltilerin stabilitesi   Enjeksiyon    Çözeltilerin stabilitesi : Etoposide phosphate     
Saklama kabı Çözücü Konsantrasyon Isı Saklama    Stabilite süresi Kaynaklar
Cam Enjeksiyonluk su 10 & 20 mg/ml 2-8°C Işıktan koruyunuz
7 Gün
3655
Üreticinin stabilite verileri

Cam Enjeksiyonluk su 10 & 20 mg/ml 25°C I_ık
96 Zaman
3655
Üreticinin stabilite verileri

Cam Enjeksiyonluk su 10 & 20 mg/ml 37°C I_ık
48 Zaman
3655
Üreticinin stabilite verileri

Cam Sodyum klorür % 0,9 > 0,1 mg/ml 2-8°C Işıktan koruyunuz
7 Gün
3655
Üreticinin stabilite verileri

Cam Sodyum klorür % 0,9 > 0,1 mg/ml 25°C I_ık
96 Zaman
3655
Üreticinin stabilite verileri

Cam Sodyum klorür % 0,9 > 0,1 mg/ml 37°C I_ık
48 Zaman
3655
Üreticinin stabilite verileri

Cam Sodyum klorür % 0,9 10 & 20 mg/ml 2-8°C Işıktan koruyunuz
7 Gün
3655
Üreticinin stabilite verileri

Cam Sodyum klorür % 0,9 10 & 20 mg/ml 25°C I_ık
96 Zaman
3655
Üreticinin stabilite verileri

Cam Sodyum klorür % 0,9 10 & 20 mg/ml 37°C I_ık
48 Zaman
3655
Üreticinin stabilite verileri

Cam Glukoz %5 > 0,1 mg/ml 2-8°C Işıktan koruyunuz
7 Gün
3655
Üreticinin stabilite verileri

Cam Glukoz %5 > 0,1 mg/ml 25°C I_ık
96 Zaman
3655
Üreticinin stabilite verileri

Cam Glukoz %5 > 0,1 mg/ml 37°C I_ık
48 Zaman
3655
Üreticinin stabilite verileri

Cam Glukoz %5 10 & 20 mg/ml 2-8°C Işıktan koruyunuz
7 Gün
3655
Üreticinin stabilite verileri

Cam Glukoz %5 10 & 20 mg/ml 25°C I_ık
96 Zaman
3655
Üreticinin stabilite verileri

Cam Glukoz %5 10 & 20 mg/ml 37°C I_ık
48 Zaman
3655
Üreticinin stabilite verileri

Polivinil klorür Sodyum klorür % 0,9 > 0,1 mg/ml 2-8°C Işıktan koruyunuz
7 Gün
3655
Üreticinin stabilite verileri

Polivinil klorür Sodyum klorür % 0,9 > 0,1 mg/ml 25°C I_ık
96 Zaman
3655
Üreticinin stabilite verileri

Polivinil klorür Sodyum klorür % 0,9 > 0,1 mg/ml 37°C I_ık
48 Zaman
3655
Üreticinin stabilite verileri

Polivinil klorür Sodyum klorür % 0,9 0,1 & 10 mg/ml 23°C Belirtilmemiş
31 Gün
1411
Kanıt düzeyi B+

Polivinil klorür Sodyum klorür % 0,9 0,1 & 10 mg/ml 32°C Belirtilmemiş
7 Gün
1411
Kanıt düzeyi B+

Polivinil klorür Sodyum klorür % 0,9 0,1 & 10 mg/ml 4°C Işıktan koruyunuz
31 Gün
1411
Kanıt düzeyi B+

Polivinil klorür Glukoz %5 > 0,1 mg/ml 2-8°C Işıktan koruyunuz
7 Gün
3655
Üreticinin stabilite verileri

Polivinil klorür Glukoz %5 > 0,1 mg/ml 25°C I_ık
96 Zaman
3655
Üreticinin stabilite verileri

Polivinil klorür Glukoz %5 > 0,1 mg/ml 37°C I_ık
48 Zaman
3655
Üreticinin stabilite verileri

Polivinil klorür Glukoz %5 0,1 & 10 mg/ml 23°C Belirtilmemiş
31 Gün
1411
Kanıt düzeyi B+

Polivinil klorür Glukoz %5 0,1 & 10 mg/ml 32°C Belirtilmemiş
7 Gün
1411
Kanıt düzeyi B+

Polivinil klorür Glukoz %5 0,1 & 10 mg/ml 4°C Işıktan koruyunuz
31 Gün
1411
Kanıt düzeyi B+

Poliolefin Sodyum klorür % 0,9 > 0,1 mg/ml 2-8°C Işıktan koruyunuz
7 Gün
3655
Üreticinin stabilite verileri

Poliolefin Sodyum klorür % 0,9 > 0,1 mg/ml 25°C I_ık
96 Zaman
3655
Üreticinin stabilite verileri

Poliolefin Sodyum klorür % 0,9 > 0,1 mg/ml 37°C I_ık
48 Zaman
3655
Üreticinin stabilite verileri

Poliolefin Glukoz %5 > 0,1 mg/ml 2-8°C Işıktan koruyunuz
7 Gün
3655
Üreticinin stabilite verileri

Poliolefin Glukoz %5 > 0,1 mg/ml 25°C I_ık
96 Zaman
3655
Üreticinin stabilite verileri

Poliolefin Glukoz %5 > 0,1 mg/ml 37°C I_ık
48 Zaman
3655
Üreticinin stabilite verileri

Şırınga polipropilen Enjeksiyonluk su + antibakteriyel 10 & 20 mg/ml 23°C Belirtilmemiş
31 Gün
1411
Kanıt düzeyi B+

Şırınga polipropilen Enjeksiyonluk su + antibakteriyel 10 & 20 mg/ml 32°C Belirtilmemiş
7 Gün
1411
Kanıt düzeyi B+

Şırınga polipropilen Enjeksiyonluk su + antibakteriyel 10 & 20 mg/ml 4°C Işıktan koruyunuz
31 Gün
1411
Kanıt düzeyi B+


  Mentions Légales