Utolsó frissítés :
17/12/2025
rákellenes gyógyszer   Etoposide phosphate  
Injekció
Az oldatok stabilitása A keverékek stabilitása Stabilitást befolyásoló tényezők Kompatibilitás Az alkalmazás módja Irodalom pdf
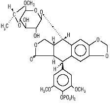
   Kémiai szerkezet   

Kereskedelmi név   Kereskedelmi név     

A kereskedelmi név meghatározó jelentőségű: a készítmények összetétele országonként, előállítóként eltérő lehet

Etopofos Ausztria, Görögország, Svédország
Etopophos Amerikai Egyesült Államok, Belgium, Bulgária, Franciaország, Hollandia, Israel, Lengyelország, Luxemburg, Nagy-Britannia, Németország, Svájc, új-Zéland
Az oldatok stabilitása   Injekció   Az oldatok stabilitása : Etoposide phosphate     
Csomagolás Oldószer Koncentráció Hőmérséklet Tárolás A stabilitás időtartama Irodalom
Üveg Injekcióhoz való víz 10 & 20 mg/ml 2-8°C Fénytől védve tartandó
7 Nap
3655
Gyártó stabilitási adatokra

Üveg Injekcióhoz való víz 10 & 20 mg/ml 25°C Fény
96 Óra
3655
Gyártó stabilitási adatokra

Üveg Injekcióhoz való víz 10 & 20 mg/ml 37°C Fény
48 Óra
3655
Gyártó stabilitási adatokra

Üveg 0,9% nátrium-klorid > 0,1 mg/ml 2-8°C Fénytől védve tartandó
7 Nap
3655
Gyártó stabilitási adatokra

Üveg 0,9% nátrium-klorid > 0,1 mg/ml 25°C Fény
96 Óra
3655
Gyártó stabilitási adatokra

Üveg 0,9% nátrium-klorid > 0,1 mg/ml 37°C Fény
48 Óra
3655
Gyártó stabilitási adatokra

Üveg 0,9% nátrium-klorid 10 & 20 mg/ml 2-8°C Fénytől védve tartandó
7 Nap
3655
Gyártó stabilitási adatokra

Üveg 0,9% nátrium-klorid 10 & 20 mg/ml 25°C Fény
96 Óra
3655
Gyártó stabilitási adatokra

Üveg 0,9% nátrium-klorid 10 & 20 mg/ml 37°C Fény
48 Óra
3655
Gyártó stabilitási adatokra

Üveg 5% glükóz > 0,1 mg/ml 2-8°C Fénytől védve tartandó
7 Nap
3655
Gyártó stabilitási adatokra

Üveg 5% glükóz > 0,1 mg/ml 25°C Fény
96 Óra
3655
Gyártó stabilitási adatokra

Üveg 5% glükóz > 0,1 mg/ml 37°C Fény
48 Óra
3655
Gyártó stabilitási adatokra

Üveg 5% glükóz 10 & 20 mg/ml 2-8°C Fénytől védve tartandó
7 Nap
3655
Gyártó stabilitási adatokra

Üveg 5% glükóz 10 & 20 mg/ml 25°C Fény
96 Óra
3655
Gyártó stabilitási adatokra

Üveg 5% glükóz 10 & 20 mg/ml 37°C Fény
48 Óra
3655
Gyártó stabilitási adatokra

Poli(vinilklorid) 0,9% nátrium-klorid > 0,1 mg/ml 2-8°C Fénytől védve tartandó
7 Nap
3655
Gyártó stabilitási adatokra

Poli(vinilklorid) 0,9% nátrium-klorid > 0,1 mg/ml 25°C Fény
96 Óra
3655
Gyártó stabilitási adatokra

Poli(vinilklorid) 0,9% nátrium-klorid > 0,1 mg/ml 37°C Fény
48 Óra
3655
Gyártó stabilitási adatokra

Poli(vinilklorid) 0,9% nátrium-klorid 0,1 & 10 mg/ml 23°C Nincs meghatározva
31 Nap
1411
Szintű bizonyítékot B+

Poli(vinilklorid) 0,9% nátrium-klorid 0,1 & 10 mg/ml 32°C Nincs meghatározva
7 Nap
1411
Szintű bizonyítékot B+

Poli(vinilklorid) 0,9% nátrium-klorid 0,1 & 10 mg/ml 4°C Fénytől védve tartandó
31 Nap
1411
Szintű bizonyítékot B+

Poli(vinilklorid) 5% glükóz > 0,1 mg/ml 2-8°C Fénytől védve tartandó
7 Nap
3655
Gyártó stabilitási adatokra

Poli(vinilklorid) 5% glükóz > 0,1 mg/ml 25°C Fény
96 Óra
3655
Gyártó stabilitási adatokra

Poli(vinilklorid) 5% glükóz > 0,1 mg/ml 37°C Fény
48 Óra
3655
Gyártó stabilitási adatokra

Poli(vinilklorid) 5% glükóz 0,1 & 10 mg/ml 23°C Nincs meghatározva
31 Nap
1411
Szintű bizonyítékot B+

Poli(vinilklorid) 5% glükóz 0,1 & 10 mg/ml 32°C Nincs meghatározva
7 Nap
1411
Szintű bizonyítékot B+

Poli(vinilklorid) 5% glükóz 0,1 & 10 mg/ml 4°C Fénytől védve tartandó
31 Nap
1411
Szintű bizonyítékot B+

Poliolefin 0,9% nátrium-klorid > 0,1 mg/ml 2-8°C Fénytől védve tartandó
7 Nap
3655
Gyártó stabilitási adatokra

Poliolefin 0,9% nátrium-klorid > 0,1 mg/ml 25°C Fény
96 Óra
3655
Gyártó stabilitási adatokra

Poliolefin 0,9% nátrium-klorid > 0,1 mg/ml 37°C Fény
48 Óra
3655
Gyártó stabilitási adatokra

Poliolefin 5% glükóz > 0,1 mg/ml 2-8°C Fénytől védve tartandó
7 Nap
3655
Gyártó stabilitási adatokra

Poliolefin 5% glükóz > 0,1 mg/ml 25°C Fény
96 Óra
3655
Gyártó stabilitási adatokra

Poliolefin 5% glükóz > 0,1 mg/ml 37°C Fény
48 Óra
3655
Gyártó stabilitási adatokra

fecskendő polipropilén Injekcióhoz való víz + antibakteriális szer 10 & 20 mg/ml 23°C Nincs meghatározva
31 Nap
1411
Szintű bizonyítékot B+

fecskendő polipropilén Injekcióhoz való víz + antibakteriális szer 10 & 20 mg/ml 32°C Nincs meghatározva
7 Nap
1411
Szintű bizonyítékot B+

fecskendő polipropilén Injekcióhoz való víz + antibakteriális szer 10 & 20 mg/ml 4°C Fénytől védve tartandó
31 Nap
1411
Szintű bizonyítékot B+


  Mentions Légales