Última actualização :
18/03/2026
droga contra o câncer   Etoposide phosphate  
injetável
Estabilidade em soluções simples Estabilidade em misturas Factores que afectam a sua estabilidade Compatibilidade Método de administração Bibliografía pdf
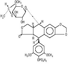
   estrutura química  

Nomes comerciais nos diversos países   Nomes comerciais nos diversos países     

OS NOMES COMERCIAIS SÃO INDICATIVOS E OS EXCIPIENTES DA FORMULAÇÃO PODEM SER DIFERENTES CONFORME O PAÍS E FABRICANTE.

Etopofos Austria, Grècia, Suècia
Etopophos Alemanha, Bélgica, Bulgária, Estados Unidos de América, França, Gran-bretanha, Israel, Luxemburgo, nova Zelândia, Países Baixos, Polonia, Suicia
Estabilidade em soluções simples   injetável   Estabilidade em soluções simples : Etoposide phosphate     
Embalagem Solvente concentração temperatura conservação Duração da estabilidade Bibliografia
vidro Agua para injectaveis 10 & 20 mg/ml 2-8°C ao abrigo da luz
7 dia
3655
Dados estabilidade do fabricante

vidro Agua para injectaveis 10 & 20 mg/ml 25°C luz
96 hora
3655
Dados estabilidade do fabricante

vidro Agua para injectaveis 10 & 20 mg/ml 37°C luz
48 hora
3655
Dados estabilidade do fabricante

vidro cloreto de sódio 0,9% > 0,1 mg/ml 2-8°C ao abrigo da luz
7 dia
3655
Dados estabilidade do fabricante

vidro cloreto de sódio 0,9% > 0,1 mg/ml 25°C luz
96 hora
3655
Dados estabilidade do fabricante

vidro cloreto de sódio 0,9% > 0,1 mg/ml 37°C luz
48 hora
3655
Dados estabilidade do fabricante

vidro cloreto de sódio 0,9% 10 & 20 mg/ml 2-8°C ao abrigo da luz
7 dia
3655
Dados estabilidade do fabricante

vidro cloreto de sódio 0,9% 10 & 20 mg/ml 25°C luz
96 hora
3655
Dados estabilidade do fabricante

vidro cloreto de sódio 0,9% 10 & 20 mg/ml 37°C luz
48 hora
3655
Dados estabilidade do fabricante

vidro Glucose 5% > 0,1 mg/ml 2-8°C ao abrigo da luz
7 dia
3655
Dados estabilidade do fabricante

vidro Glucose 5% > 0,1 mg/ml 25°C luz
96 hora
3655
Dados estabilidade do fabricante

vidro Glucose 5% > 0,1 mg/ml 37°C luz
48 hora
3655
Dados estabilidade do fabricante

vidro Glucose 5% 10 & 20 mg/ml 2-8°C ao abrigo da luz
7 dia
3655
Dados estabilidade do fabricante

vidro Glucose 5% 10 & 20 mg/ml 25°C luz
96 hora
3655
Dados estabilidade do fabricante

vidro Glucose 5% 10 & 20 mg/ml 37°C luz
48 hora
3655
Dados estabilidade do fabricante

Cloreto de polivinilo cloreto de sódio 0,9% > 0,1 mg/ml 2-8°C ao abrigo da luz
7 dia
3655
Dados estabilidade do fabricante

Cloreto de polivinilo cloreto de sódio 0,9% > 0,1 mg/ml 25°C luz
96 hora
3655
Dados estabilidade do fabricante

Cloreto de polivinilo cloreto de sódio 0,9% > 0,1 mg/ml 37°C luz
48 hora
3655
Dados estabilidade do fabricante

Cloreto de polivinilo cloreto de sódio 0,9% 0,1 & 10 mg/ml 23°C no especificado
31 dia
1411
Nível de evidência B+

Cloreto de polivinilo cloreto de sódio 0,9% 0,1 & 10 mg/ml 32°C no especificado
7 dia
1411
Nível de evidência B+

Cloreto de polivinilo cloreto de sódio 0,9% 0,1 & 10 mg/ml 4°C ao abrigo da luz
31 dia
1411
Nível de evidência B+

Cloreto de polivinilo Glucose 5% > 0,1 mg/ml 2-8°C ao abrigo da luz
7 dia
3655
Dados estabilidade do fabricante

Cloreto de polivinilo Glucose 5% > 0,1 mg/ml 25°C luz
96 hora
3655
Dados estabilidade do fabricante

Cloreto de polivinilo Glucose 5% > 0,1 mg/ml 37°C luz
48 hora
3655
Dados estabilidade do fabricante

Cloreto de polivinilo Glucose 5% 0,1 & 10 mg/ml 23°C no especificado
31 dia
1411
Nível de evidência B+

Cloreto de polivinilo Glucose 5% 0,1 & 10 mg/ml 32°C no especificado
7 dia
1411
Nível de evidência B+

Cloreto de polivinilo Glucose 5% 0,1 & 10 mg/ml 4°C ao abrigo da luz
31 dia
1411
Nível de evidência B+

Poliolefina cloreto de sódio 0,9% > 0,1 mg/ml 2-8°C ao abrigo da luz
7 dia
3655
Dados estabilidade do fabricante

Poliolefina cloreto de sódio 0,9% > 0,1 mg/ml 25°C luz
96 hora
3655
Dados estabilidade do fabricante

Poliolefina cloreto de sódio 0,9% > 0,1 mg/ml 37°C luz
48 hora
3655
Dados estabilidade do fabricante

Poliolefina Glucose 5% > 0,1 mg/ml 2-8°C ao abrigo da luz
7 dia
3655
Dados estabilidade do fabricante

Poliolefina Glucose 5% > 0,1 mg/ml 25°C luz
96 hora
3655
Dados estabilidade do fabricante

Poliolefina Glucose 5% > 0,1 mg/ml 37°C luz
48 hora
3655
Dados estabilidade do fabricante

seringa polipropylen Agua+bacteriostático 10 & 20 mg/ml 23°C no especificado
31 dia
1411
Nível de evidência B+

seringa polipropylen Agua+bacteriostático 10 & 20 mg/ml 32°C no especificado
7 dia
1411
Nível de evidência B+

seringa polipropylen Agua+bacteriostático 10 & 20 mg/ml 4°C ao abrigo da luz
31 dia
1411
Nível de evidência B+


  Mentions Légales