最新更新 :
18/03/2026
細胞増殖抑制薬   Etoposide phosphate  
注射薬
溶媒内の安定性 混合時の安定性 安定性に影響する因子 互換性 投与経路 引用文献 PDF
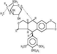
   化学構造  

商品名   商品名     

商品名、賦形剤は国、製薬会社ごとに異なることがあります

Etopofos オーストリア, ギリシア, スウェーデン
Etopophos アメリカ, イギリス, イスラエル, オランダ, スイス, ドイツ, ニュージーランド, フランス, ブルガリア, ベルギー, ポーランド, ルクセンブルグ
溶媒内の安定性   注射薬   溶媒内の安定性 : Etoposide phosphate     
容器 溶媒 濃度 温度 保管 安定期間 引用文献
ガラス 注射用水 10 & 20 mg/ml 2-8°C 遮光
7 日
3655
製薬会社の安定性データ

ガラス 注射用水 10 & 20 mg/ml 25°C 光
96 時間
3655
製薬会社の安定性データ

ガラス 注射用水 10 & 20 mg/ml 37°C 光
48 時間
3655
製薬会社の安定性データ

ガラス NaCl 0,9% > 0,1 mg/ml 2-8°C 遮光
7 日
3655
製薬会社の安定性データ

ガラス NaCl 0,9% > 0,1 mg/ml 25°C 光
96 時間
3655
製薬会社の安定性データ

ガラス NaCl 0,9% > 0,1 mg/ml 37°C 光
48 時間
3655
製薬会社の安定性データ

ガラス NaCl 0,9% 10 & 20 mg/ml 2-8°C 遮光
7 日
3655
製薬会社の安定性データ

ガラス NaCl 0,9% 10 & 20 mg/ml 25°C 光
96 時間
3655
製薬会社の安定性データ

ガラス NaCl 0,9% 10 & 20 mg/ml 37°C 光
48 時間
3655
製薬会社の安定性データ

ガラス グルコース5% > 0,1 mg/ml 2-8°C 遮光
7 日
3655
製薬会社の安定性データ

ガラス グルコース5% > 0,1 mg/ml 25°C 光
96 時間
3655
製薬会社の安定性データ

ガラス グルコース5% > 0,1 mg/ml 37°C 光
48 時間
3655
製薬会社の安定性データ

ガラス グルコース5% 10 & 20 mg/ml 2-8°C 遮光
7 日
3655
製薬会社の安定性データ

ガラス グルコース5% 10 & 20 mg/ml 25°C 光
96 時間
3655
製薬会社の安定性データ

ガラス グルコース5% 10 & 20 mg/ml 37°C 光
48 時間
3655
製薬会社の安定性データ

ポリ塩化ビニル(PVC) NaCl 0,9% > 0,1 mg/ml 2-8°C 遮光
7 日
3655
製薬会社の安定性データ

ポリ塩化ビニル(PVC) NaCl 0,9% > 0,1 mg/ml 25°C 光
96 時間
3655
製薬会社の安定性データ

ポリ塩化ビニル(PVC) NaCl 0,9% > 0,1 mg/ml 37°C 光
48 時間
3655
製薬会社の安定性データ

ポリ塩化ビニル(PVC) NaCl 0,9% 0,1 & 10 mg/ml 23°C 特記なし
31 日
1411
エビデンスレベル B+

ポリ塩化ビニル(PVC) NaCl 0,9% 0,1 & 10 mg/ml 32°C 特記なし
7 日
1411
エビデンスレベル B+

ポリ塩化ビニル(PVC) NaCl 0,9% 0,1 & 10 mg/ml 4°C 遮光
31 日
1411
エビデンスレベル B+

ポリ塩化ビニル(PVC) グルコース5% > 0,1 mg/ml 2-8°C 遮光
7 日
3655
製薬会社の安定性データ

ポリ塩化ビニル(PVC) グルコース5% > 0,1 mg/ml 25°C 光
96 時間
3655
製薬会社の安定性データ

ポリ塩化ビニル(PVC) グルコース5% > 0,1 mg/ml 37°C 光
48 時間
3655
製薬会社の安定性データ

ポリ塩化ビニル(PVC) グルコース5% 0,1 & 10 mg/ml 23°C 特記なし
31 日
1411
エビデンスレベル B+

ポリ塩化ビニル(PVC) グルコース5% 0,1 & 10 mg/ml 32°C 特記なし
7 日
1411
エビデンスレベル B+

ポリ塩化ビニル(PVC) グルコース5% 0,1 & 10 mg/ml 4°C 遮光
31 日
1411
エビデンスレベル B+

ポリオレフィン NaCl 0,9% > 0,1 mg/ml 2-8°C 遮光
7 日
3655
製薬会社の安定性データ

ポリオレフィン NaCl 0,9% > 0,1 mg/ml 25°C 光
96 時間
3655
製薬会社の安定性データ

ポリオレフィン NaCl 0,9% > 0,1 mg/ml 37°C 光
48 時間
3655
製薬会社の安定性データ

ポリオレフィン グルコース5% > 0,1 mg/ml 2-8°C 遮光
7 日
3655
製薬会社の安定性データ

ポリオレフィン グルコース5% > 0,1 mg/ml 25°C 光
96 時間
3655
製薬会社の安定性データ

ポリオレフィン グルコース5% > 0,1 mg/ml 37°C 光
48 時間
3655
製薬会社の安定性データ

シリンジ ポリプロピレン 注射用水 +滅菌 10 & 20 mg/ml 23°C 特記なし
31 日
1411
エビデンスレベル B+

シリンジ ポリプロピレン 注射用水 +滅菌 10 & 20 mg/ml 32°C 特記なし
7 日
1411
エビデンスレベル B+

シリンジ ポリプロピレン 注射用水 +滅菌 10 & 20 mg/ml 4°C 遮光
31 日
1411
エビデンスレベル B+


  Mentions Légales