Posledná aktualizácia :
18/03/2026
Protinádorová liečba   Etoposide phosphate  
Injekcia
Stabilita roztokov Stabilita v zmesiach Faktory ovplyvňujúce stabilitu Kompatibility spôsob podania Odkazy na literatúru PDF
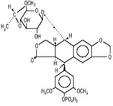
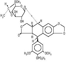
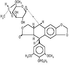
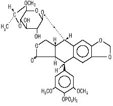
   Chemický vzorec  

Obchodný názov   Obchodný názov     

Obchodné názvy sú orientačné, a zloženie pomocných látok sa môže líšiť v závislosti od krajiny a výrobcu.

Etopofos Grécko, Rakúsko, Švédsko
Etopophos Belgicko, Bulharsko, Francúzsko, Holandsko, Izrael, Luxembursko, Nemecko, nový Zéland, Poľsko, Spojené štáty Americké, Švajčiarsko, Veľká Británia
Stabilita roztokov   Injekcia   Stabilita roztokov : Etoposide phosphate     
obal rozpúšťadlo koncentrácia teplota uchovávanie Trvanie stability odkazy na lieteratúru
Sklo voda na injekciu 10 & 20 mg/ml 2-8°C Chránené pred svetlom
7 dní
3655
Údaje o stabilite od výrobcu

Sklo voda na injekciu 10 & 20 mg/ml 25°C Za svetla
96 hodín
3655
Údaje o stabilite od výrobcu

Sklo voda na injekciu 10 & 20 mg/ml 37°C Za svetla
48 hodín
3655
Údaje o stabilite od výrobcu

Sklo 0,9% chlorid sodný > 0,1 mg/ml 2-8°C Chránené pred svetlom
7 dní
3655
Údaje o stabilite od výrobcu

Sklo 0,9% chlorid sodný > 0,1 mg/ml 25°C Za svetla
96 hodín
3655
Údaje o stabilite od výrobcu

Sklo 0,9% chlorid sodný > 0,1 mg/ml 37°C Za svetla
48 hodín
3655
Údaje o stabilite od výrobcu

Sklo 0,9% chlorid sodný 10 & 20 mg/ml 2-8°C Chránené pred svetlom
7 dní
3655
Údaje o stabilite od výrobcu

Sklo 0,9% chlorid sodný 10 & 20 mg/ml 25°C Za svetla
96 hodín
3655
Údaje o stabilite od výrobcu

Sklo 0,9% chlorid sodný 10 & 20 mg/ml 37°C Za svetla
48 hodín
3655
Údaje o stabilite od výrobcu

Sklo 5% glukóza > 0,1 mg/ml 2-8°C Chránené pred svetlom
7 dní
3655
Údaje o stabilite od výrobcu

Sklo 5% glukóza > 0,1 mg/ml 25°C Za svetla
96 hodín
3655
Údaje o stabilite od výrobcu

Sklo 5% glukóza > 0,1 mg/ml 37°C Za svetla
48 hodín
3655
Údaje o stabilite od výrobcu

Sklo 5% glukóza 10 & 20 mg/ml 2-8°C Chránené pred svetlom
7 dní
3655
Údaje o stabilite od výrobcu

Sklo 5% glukóza 10 & 20 mg/ml 25°C Za svetla
96 hodín
3655
Údaje o stabilite od výrobcu

Sklo 5% glukóza 10 & 20 mg/ml 37°C Za svetla
48 hodín
3655
Údaje o stabilite od výrobcu

polyvinylchlorid (PVC) 0,9% chlorid sodný > 0,1 mg/ml 2-8°C Chránené pred svetlom
7 dní
3655
Údaje o stabilite od výrobcu

polyvinylchlorid (PVC) 0,9% chlorid sodný > 0,1 mg/ml 25°C Za svetla
96 hodín
3655
Údaje o stabilite od výrobcu

polyvinylchlorid (PVC) 0,9% chlorid sodný > 0,1 mg/ml 37°C Za svetla
48 hodín
3655
Údaje o stabilite od výrobcu

polyvinylchlorid (PVC) 0,9% chlorid sodný 0,1 & 10 mg/ml 23°C nešpecifikované
31 dní
1411
Úroveň dôkazov B+

polyvinylchlorid (PVC) 0,9% chlorid sodný 0,1 & 10 mg/ml 32°C nešpecifikované
7 dní
1411
Úroveň dôkazov B+

polyvinylchlorid (PVC) 0,9% chlorid sodný 0,1 & 10 mg/ml 4°C Chránené pred svetlom
31 dní
1411
Úroveň dôkazov B+

polyvinylchlorid (PVC) 5% glukóza > 0,1 mg/ml 2-8°C Chránené pred svetlom
7 dní
3655
Údaje o stabilite od výrobcu

polyvinylchlorid (PVC) 5% glukóza > 0,1 mg/ml 25°C Za svetla
96 hodín
3655
Údaje o stabilite od výrobcu

polyvinylchlorid (PVC) 5% glukóza > 0,1 mg/ml 37°C Za svetla
48 hodín
3655
Údaje o stabilite od výrobcu

polyvinylchlorid (PVC) 5% glukóza 0,1 & 10 mg/ml 23°C nešpecifikované
31 dní
1411
Úroveň dôkazov B+

polyvinylchlorid (PVC) 5% glukóza 0,1 & 10 mg/ml 32°C nešpecifikované
7 dní
1411
Úroveň dôkazov B+

polyvinylchlorid (PVC) 5% glukóza 0,1 & 10 mg/ml 4°C Chránené pred svetlom
31 dní
1411
Úroveň dôkazov B+

polyolefín 0,9% chlorid sodný > 0,1 mg/ml 2-8°C Chránené pred svetlom
7 dní
3655
Údaje o stabilite od výrobcu

polyolefín 0,9% chlorid sodný > 0,1 mg/ml 25°C Za svetla
96 hodín
3655
Údaje o stabilite od výrobcu

polyolefín 0,9% chlorid sodný > 0,1 mg/ml 37°C Za svetla
48 hodín
3655
Údaje o stabilite od výrobcu

polyolefín 5% glukóza > 0,1 mg/ml 2-8°C Chránené pred svetlom
7 dní
3655
Údaje o stabilite od výrobcu

polyolefín 5% glukóza > 0,1 mg/ml 25°C Za svetla
96 hodín
3655
Údaje o stabilite od výrobcu

polyolefín 5% glukóza > 0,1 mg/ml 37°C Za svetla
48 hodín
3655
Údaje o stabilite od výrobcu

Injekčná striekačka polypropylén voda na injekciu + antibakteriálna látka 10 & 20 mg/ml 23°C nešpecifikované
31 dní
1411
Úroveň dôkazov B+

Injekčná striekačka polypropylén voda na injekciu + antibakteriálna látka 10 & 20 mg/ml 32°C nešpecifikované
7 dní
1411
Úroveň dôkazov B+

Injekčná striekačka polypropylén voda na injekciu + antibakteriálna látka 10 & 20 mg/ml 4°C Chránené pred svetlom
31 dní
1411
Úroveň dôkazov B+


  Mentions Légales