Τελευταία ενημέρωση :
17/12/2025
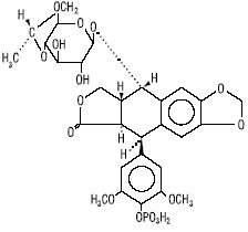
φάρμακο κατά του καρκίνου   Etoposide phosphate  
Ενέσιμο
Σταθερότητα διαλυμάτων Σταθερότητα σε μίγματα Παράγοντας που επηρεάζει τη σταθερότητα Συμβατότητες Τρόπος χορήγησης Βιβλιογραφία pdf
   χημική δομή  

Εμπορική ονομασία   Εμπορική ονομασία     

Οι εμπορικές ονομασίες είναι ενδεικτικές και η σύνθεση των εκδόχων μπορεί να διαφέρει ανάλογα με τη χώρα και τα εργαστήρια

Etopofos Αυστρία, Ελλάδα, Σουηδία
Etopophos Βέλγιο, Βουλγαρία, Γαλλία, Γερμανία, Ελβετία, Η.Π.Α., Ισραήλ, Λουξεμβούργο, Μεγάλη Βρετανία, νέα Ζηλανδία, Ολλανδία, Πολωνία
Σταθερότητα διαλυμάτων   Ενέσιμο   Σταθερότητα διαλυμάτων : Etoposide phosphate     
Υποδοχέας Διαλυτικό Συγκέντρωση Θερμοκρασία Αποθήκευση Διάρκεια σταθερότητας Βιβλιογραφία
Ύαλος Ενέσιμο ύδωρ 10 & 20 mg/ml 2-8°C Προστατεύετε από το φως
7 Ημέρα
3655
Δεδομένα σταθερότητας του κατασκευαστή/ών

Ύαλος Ενέσιμο ύδωρ 10 & 20 mg/ml 25°C Φως
96 Ώρα
3655
Δεδομένα σταθερότητας του κατασκευαστή/ών

Ύαλος Ενέσιμο ύδωρ 10 & 20 mg/ml 37°C Φως
48 Ώρα
3655
Δεδομένα σταθερότητας του κατασκευαστή/ών

Ύαλος Χλωριούχο νάτριο 0,9% > 0,1 mg/ml 2-8°C Προστατεύετε από το φως
7 Ημέρα
3655
Δεδομένα σταθερότητας του κατασκευαστή/ών

Ύαλος Χλωριούχο νάτριο 0,9% > 0,1 mg/ml 25°C Φως
96 Ώρα
3655
Δεδομένα σταθερότητας του κατασκευαστή/ών

Ύαλος Χλωριούχο νάτριο 0,9% > 0,1 mg/ml 37°C Φως
48 Ώρα
3655
Δεδομένα σταθερότητας του κατασκευαστή/ών

Ύαλος Χλωριούχο νάτριο 0,9% 10 & 20 mg/ml 2-8°C Προστατεύετε από το φως
7 Ημέρα
3655
Δεδομένα σταθερότητας του κατασκευαστή/ών

Ύαλος Χλωριούχο νάτριο 0,9% 10 & 20 mg/ml 25°C Φως
96 Ώρα
3655
Δεδομένα σταθερότητας του κατασκευαστή/ών

Ύαλος Χλωριούχο νάτριο 0,9% 10 & 20 mg/ml 37°C Φως
48 Ώρα
3655
Δεδομένα σταθερότητας του κατασκευαστή/ών

Ύαλος Γλυκόζη 5% > 0,1 mg/ml 2-8°C Προστατεύετε από το φως
7 Ημέρα
3655
Δεδομένα σταθερότητας του κατασκευαστή/ών

Ύαλος Γλυκόζη 5% > 0,1 mg/ml 25°C Φως
96 Ώρα
3655
Δεδομένα σταθερότητας του κατασκευαστή/ών

Ύαλος Γλυκόζη 5% > 0,1 mg/ml 37°C Φως
48 Ώρα
3655
Δεδομένα σταθερότητας του κατασκευαστή/ών

Ύαλος Γλυκόζη 5% 10 & 20 mg/ml 2-8°C Προστατεύετε από το φως
7 Ημέρα
3655
Δεδομένα σταθερότητας του κατασκευαστή/ών

Ύαλος Γλυκόζη 5% 10 & 20 mg/ml 25°C Φως
96 Ώρα
3655
Δεδομένα σταθερότητας του κατασκευαστή/ών

Ύαλος Γλυκόζη 5% 10 & 20 mg/ml 37°C Φως
48 Ώρα
3655
Δεδομένα σταθερότητας του κατασκευαστή/ών

Πολυβινυλοχλωρίδιο Χλωριούχο νάτριο 0,9% > 0,1 mg/ml 2-8°C Προστατεύετε από το φως
7 Ημέρα
3655
Δεδομένα σταθερότητας του κατασκευαστή/ών

Πολυβινυλοχλωρίδιο Χλωριούχο νάτριο 0,9% > 0,1 mg/ml 25°C Φως
96 Ώρα
3655
Δεδομένα σταθερότητας του κατασκευαστή/ών

Πολυβινυλοχλωρίδιο Χλωριούχο νάτριο 0,9% > 0,1 mg/ml 37°C Φως
48 Ώρα
3655
Δεδομένα σταθερότητας του κατασκευαστή/ών

Πολυβινυλοχλωρίδιο Χλωριούχο νάτριο 0,9% 0,1 & 10 mg/ml 23°C Απροσδιόριστο
31 Ημέρα
1411
Επίπεδο των αποδεικτικών στοιχείων B+

Πολυβινυλοχλωρίδιο Χλωριούχο νάτριο 0,9% 0,1 & 10 mg/ml 32°C Απροσδιόριστο
7 Ημέρα
1411
Επίπεδο των αποδεικτικών στοιχείων B+

Πολυβινυλοχλωρίδιο Χλωριούχο νάτριο 0,9% 0,1 & 10 mg/ml 4°C Προστατεύετε από το φως
31 Ημέρα
1411
Επίπεδο των αποδεικτικών στοιχείων B+

Πολυβινυλοχλωρίδιο Γλυκόζη 5% > 0,1 mg/ml 2-8°C Προστατεύετε από το φως
7 Ημέρα
3655
Δεδομένα σταθερότητας του κατασκευαστή/ών

Πολυβινυλοχλωρίδιο Γλυκόζη 5% > 0,1 mg/ml 25°C Φως
96 Ώρα
3655
Δεδομένα σταθερότητας του κατασκευαστή/ών

Πολυβινυλοχλωρίδιο Γλυκόζη 5% > 0,1 mg/ml 37°C Φως
48 Ώρα
3655
Δεδομένα σταθερότητας του κατασκευαστή/ών

Πολυβινυλοχλωρίδιο Γλυκόζη 5% 0,1 & 10 mg/ml 23°C Απροσδιόριστο
31 Ημέρα
1411
Επίπεδο των αποδεικτικών στοιχείων B+

Πολυβινυλοχλωρίδιο Γλυκόζη 5% 0,1 & 10 mg/ml 32°C Απροσδιόριστο
7 Ημέρα
1411
Επίπεδο των αποδεικτικών στοιχείων B+

Πολυβινυλοχλωρίδιο Γλυκόζη 5% 0,1 & 10 mg/ml 4°C Προστατεύετε από το φως
31 Ημέρα
1411
Επίπεδο των αποδεικτικών στοιχείων B+

Πολυολεφίνη Χλωριούχο νάτριο 0,9% > 0,1 mg/ml 2-8°C Προστατεύετε από το φως
7 Ημέρα
3655
Δεδομένα σταθερότητας του κατασκευαστή/ών

Πολυολεφίνη Χλωριούχο νάτριο 0,9% > 0,1 mg/ml 25°C Φως
96 Ώρα
3655
Δεδομένα σταθερότητας του κατασκευαστή/ών

Πολυολεφίνη Χλωριούχο νάτριο 0,9% > 0,1 mg/ml 37°C Φως
48 Ώρα
3655
Δεδομένα σταθερότητας του κατασκευαστή/ών

Πολυολεφίνη Γλυκόζη 5% > 0,1 mg/ml 2-8°C Προστατεύετε από το φως
7 Ημέρα
3655
Δεδομένα σταθερότητας του κατασκευαστή/ών

Πολυολεφίνη Γλυκόζη 5% > 0,1 mg/ml 25°C Φως
96 Ώρα
3655
Δεδομένα σταθερότητας του κατασκευαστή/ών

Πολυολεφίνη Γλυκόζη 5% > 0,1 mg/ml 37°C Φως
48 Ώρα
3655
Δεδομένα σταθερότητας του κατασκευαστή/ών

σύριγγα πολυπροπυλένιο Ενέσιμο ύδωρ + αντιβακτηριακό 10 & 20 mg/ml 23°C Απροσδιόριστο
31 Ημέρα
1411
Επίπεδο των αποδεικτικών στοιχείων B+

σύριγγα πολυπροπυλένιο Ενέσιμο ύδωρ + αντιβακτηριακό 10 & 20 mg/ml 32°C Απροσδιόριστο
7 Ημέρα
1411
Επίπεδο των αποδεικτικών στοιχείων B+

σύριγγα πολυπροπυλένιο Ενέσιμο ύδωρ + αντιβακτηριακό 10 & 20 mg/ml 4°C Προστατεύετε από το φως
31 Ημέρα
1411
Επίπεδο των αποδεικτικών στοιχείων B+


  Mentions Légales