Ultimo aggiornamento :
18/03/2026
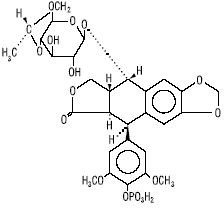
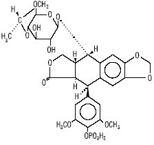
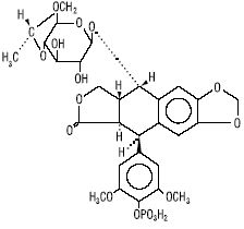
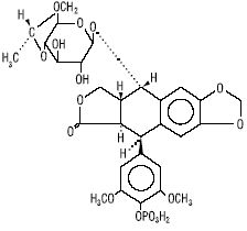
farmaco contro il cancro   Etoposide phosphate  
Iniezione
Stabilità in soluzione Stabilità in miscela Fattori che influenzano la stabilità Compatibilità metodo di iniezione Bibliografia pdf
   Struttura chimica  

Nome commerciale   Nome commerciale     

Trade names are indicative and excipients composition can be different depending on the country and manufacturers

Etopofos Austria, Grecia, Svezia
Etopophos Belgio, Bulgaria, Francia, Germania, Gran Bretagna, Israele, Lussemburgo, nuova Zelanda, Paesi Bassi, Polonia, Stati Uniti d’America, Svizzera
Stabilità in soluzione   Iniezione   Stabilità in soluzione : Etoposide phosphate     
contenitore Solvente Concentrazione Temperatura Conservazione Durata della stabilità Bibliografia
Vetro Acqua per preparato iniettabile 10 & 20 mg/ml 2-8°C Al riparo dalla luce
7 Giorno
3655
Dati di stabilità del produttore

Vetro Acqua per preparato iniettabile 10 & 20 mg/ml 25°C Luce
96 Ora
3655
Dati di stabilità del produttore

Vetro Acqua per preparato iniettabile 10 & 20 mg/ml 37°C Luce
48 Ora
3655
Dati di stabilità del produttore

Vetro Cloruro di sodio 0,9% > 0,1 mg/ml 2-8°C Al riparo dalla luce
7 Giorno
3655
Dati di stabilità del produttore

Vetro Cloruro di sodio 0,9% > 0,1 mg/ml 25°C Luce
96 Ora
3655
Dati di stabilità del produttore

Vetro Cloruro di sodio 0,9% > 0,1 mg/ml 37°C Luce
48 Ora
3655
Dati di stabilità del produttore

Vetro Cloruro di sodio 0,9% 10 & 20 mg/ml 2-8°C Al riparo dalla luce
7 Giorno
3655
Dati di stabilità del produttore

Vetro Cloruro di sodio 0,9% 10 & 20 mg/ml 25°C Luce
96 Ora
3655
Dati di stabilità del produttore

Vetro Cloruro di sodio 0,9% 10 & 20 mg/ml 37°C Luce
48 Ora
3655
Dati di stabilità del produttore

Vetro Glucosio 5% > 0,1 mg/ml 2-8°C Al riparo dalla luce
7 Giorno
3655
Dati di stabilità del produttore

Vetro Glucosio 5% > 0,1 mg/ml 25°C Luce
96 Ora
3655
Dati di stabilità del produttore

Vetro Glucosio 5% > 0,1 mg/ml 37°C Luce
48 Ora
3655
Dati di stabilità del produttore

Vetro Glucosio 5% 10 & 20 mg/ml 2-8°C Al riparo dalla luce
7 Giorno
3655
Dati di stabilità del produttore

Vetro Glucosio 5% 10 & 20 mg/ml 25°C Luce
96 Ora
3655
Dati di stabilità del produttore

Vetro Glucosio 5% 10 & 20 mg/ml 37°C Luce
48 Ora
3655
Dati di stabilità del produttore

Cloruro di polivinile Cloruro di sodio 0,9% > 0,1 mg/ml 2-8°C Al riparo dalla luce
7 Giorno
3655
Dati di stabilità del produttore

Cloruro di polivinile Cloruro di sodio 0,9% > 0,1 mg/ml 25°C Luce
96 Ora
3655
Dati di stabilità del produttore

Cloruro di polivinile Cloruro di sodio 0,9% > 0,1 mg/ml 37°C Luce
48 Ora
3655
Dati di stabilità del produttore

Cloruro di polivinile Cloruro di sodio 0,9% 0,1 & 10 mg/ml 23°C Non precisata
31 Giorno
1411
Livello di evidenza B+

Cloruro di polivinile Cloruro di sodio 0,9% 0,1 & 10 mg/ml 32°C Non precisata
7 Giorno
1411
Livello di evidenza B+

Cloruro di polivinile Cloruro di sodio 0,9% 0,1 & 10 mg/ml 4°C Al riparo dalla luce
31 Giorno
1411
Livello di evidenza B+

Cloruro di polivinile Glucosio 5% > 0,1 mg/ml 2-8°C Al riparo dalla luce
7 Giorno
3655
Dati di stabilità del produttore

Cloruro di polivinile Glucosio 5% > 0,1 mg/ml 25°C Luce
96 Ora
3655
Dati di stabilità del produttore

Cloruro di polivinile Glucosio 5% > 0,1 mg/ml 37°C Luce
48 Ora
3655
Dati di stabilità del produttore

Cloruro di polivinile Glucosio 5% 0,1 & 10 mg/ml 23°C Non precisata
31 Giorno
1411
Livello di evidenza B+

Cloruro di polivinile Glucosio 5% 0,1 & 10 mg/ml 32°C Non precisata
7 Giorno
1411
Livello di evidenza B+

Cloruro di polivinile Glucosio 5% 0,1 & 10 mg/ml 4°C Al riparo dalla luce
31 Giorno
1411
Livello di evidenza B+

Poliolefina Cloruro di sodio 0,9% > 0,1 mg/ml 2-8°C Al riparo dalla luce
7 Giorno
3655
Dati di stabilità del produttore

Poliolefina Cloruro di sodio 0,9% > 0,1 mg/ml 25°C Luce
96 Ora
3655
Dati di stabilità del produttore

Poliolefina Cloruro di sodio 0,9% > 0,1 mg/ml 37°C Luce
48 Ora
3655
Dati di stabilità del produttore

Poliolefina Glucosio 5% > 0,1 mg/ml 2-8°C Al riparo dalla luce
7 Giorno
3655
Dati di stabilità del produttore

Poliolefina Glucosio 5% > 0,1 mg/ml 25°C Luce
96 Ora
3655
Dati di stabilità del produttore

Poliolefina Glucosio 5% > 0,1 mg/ml 37°C Luce
48 Ora
3655
Dati di stabilità del produttore

siringa polipropilene Acqua + sostanza batteriostatica 10 & 20 mg/ml 23°C Non precisata
31 Giorno
1411
Livello di evidenza B+

siringa polipropilene Acqua + sostanza batteriostatica 10 & 20 mg/ml 32°C Non precisata
7 Giorno
1411
Livello di evidenza B+

siringa polipropilene Acqua + sostanza batteriostatica 10 & 20 mg/ml 4°C Al riparo dalla luce
31 Giorno
1411
Livello di evidenza B+


  Mentions Légales