Laatste update :
18/03/2026
geneesmiddel tegen kanker   Etoposide phosphate  
injecteerbaar geneesmiddel
Stabiliteit in oplossing Stabiliteit in mengsels Factoren die de stabiliteit beïnvloeden Verenigbaarheden Toedieningswijze Literatuur pdf
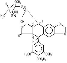
   Molecuulstructuur  

Merknamen in verschillende landen   Merknamen in verschillende landen     

Handelsnamen zijn slechts een indicatie; de samenstelling van hulpstoffen kan per land variëren afhankelijk van de fabrikant

Etopofos Griekenland, Oostenrijk, Zweden
Etopophos België, Bulgarije, Duitsland, Frankrijk, Groot Britannië, Israël, Luxemburg, Nederland, nieuw Zeeland, Polen, USA, Zwitserland
Stabiliteit in oplossing   injecteerbaar geneesmiddel   Stabiliteit in oplossing : Etoposide phosphate     
Verpakking Oplosmiddel Concentratie Temperatuur Bewaring Duur van de stabiliteit Literatuur
Glas Water voor injectie 10 & 20 mg/ml 2-8°C Buiten invloed van licht
7 Dag
3655
Stabiliteitsgegevens van de fabrikant

Glas Water voor injectie 10 & 20 mg/ml 25°C Licht
96 Uur
3655
Stabiliteitsgegevens van de fabrikant

Glas Water voor injectie 10 & 20 mg/ml 37°C Licht
48 Uur
3655
Stabiliteitsgegevens van de fabrikant

Glas Natriumchloride 0,9% > 0,1 mg/ml 2-8°C Buiten invloed van licht
7 Dag
3655
Stabiliteitsgegevens van de fabrikant

Glas Natriumchloride 0,9% > 0,1 mg/ml 25°C Licht
96 Uur
3655
Stabiliteitsgegevens van de fabrikant

Glas Natriumchloride 0,9% > 0,1 mg/ml 37°C Licht
48 Uur
3655
Stabiliteitsgegevens van de fabrikant

Glas Natriumchloride 0,9% 10 & 20 mg/ml 2-8°C Buiten invloed van licht
7 Dag
3655
Stabiliteitsgegevens van de fabrikant

Glas Natriumchloride 0,9% 10 & 20 mg/ml 25°C Licht
96 Uur
3655
Stabiliteitsgegevens van de fabrikant

Glas Natriumchloride 0,9% 10 & 20 mg/ml 37°C Licht
48 Uur
3655
Stabiliteitsgegevens van de fabrikant

Glas Glucose 5% > 0,1 mg/ml 2-8°C Buiten invloed van licht
7 Dag
3655
Stabiliteitsgegevens van de fabrikant

Glas Glucose 5% > 0,1 mg/ml 25°C Licht
96 Uur
3655
Stabiliteitsgegevens van de fabrikant

Glas Glucose 5% > 0,1 mg/ml 37°C Licht
48 Uur
3655
Stabiliteitsgegevens van de fabrikant

Glas Glucose 5% 10 & 20 mg/ml 2-8°C Buiten invloed van licht
7 Dag
3655
Stabiliteitsgegevens van de fabrikant

Glas Glucose 5% 10 & 20 mg/ml 25°C Licht
96 Uur
3655
Stabiliteitsgegevens van de fabrikant

Glas Glucose 5% 10 & 20 mg/ml 37°C Licht
48 Uur
3655
Stabiliteitsgegevens van de fabrikant

Polyvinylchloride (PVC) Natriumchloride 0,9% > 0,1 mg/ml 2-8°C Buiten invloed van licht
7 Dag
3655
Stabiliteitsgegevens van de fabrikant

Polyvinylchloride (PVC) Natriumchloride 0,9% > 0,1 mg/ml 25°C Licht
96 Uur
3655
Stabiliteitsgegevens van de fabrikant

Polyvinylchloride (PVC) Natriumchloride 0,9% > 0,1 mg/ml 37°C Licht
48 Uur
3655
Stabiliteitsgegevens van de fabrikant

Polyvinylchloride (PVC) Natriumchloride 0,9% 0,1 & 10 mg/ml 23°C Niet gespecificeerd
31 Dag
1411
Niveau van bewijs B+

Polyvinylchloride (PVC) Natriumchloride 0,9% 0,1 & 10 mg/ml 32°C Niet gespecificeerd
7 Dag
1411
Niveau van bewijs B+

Polyvinylchloride (PVC) Natriumchloride 0,9% 0,1 & 10 mg/ml 4°C Buiten invloed van licht
31 Dag
1411
Niveau van bewijs B+

Polyvinylchloride (PVC) Glucose 5% > 0,1 mg/ml 2-8°C Buiten invloed van licht
7 Dag
3655
Stabiliteitsgegevens van de fabrikant

Polyvinylchloride (PVC) Glucose 5% > 0,1 mg/ml 25°C Licht
96 Uur
3655
Stabiliteitsgegevens van de fabrikant

Polyvinylchloride (PVC) Glucose 5% > 0,1 mg/ml 37°C Licht
48 Uur
3655
Stabiliteitsgegevens van de fabrikant

Polyvinylchloride (PVC) Glucose 5% 0,1 & 10 mg/ml 23°C Niet gespecificeerd
31 Dag
1411
Niveau van bewijs B+

Polyvinylchloride (PVC) Glucose 5% 0,1 & 10 mg/ml 32°C Niet gespecificeerd
7 Dag
1411
Niveau van bewijs B+

Polyvinylchloride (PVC) Glucose 5% 0,1 & 10 mg/ml 4°C Buiten invloed van licht
31 Dag
1411
Niveau van bewijs B+

Polyolefine Natriumchloride 0,9% > 0,1 mg/ml 2-8°C Buiten invloed van licht
7 Dag
3655
Stabiliteitsgegevens van de fabrikant

Polyolefine Natriumchloride 0,9% > 0,1 mg/ml 25°C Licht
96 Uur
3655
Stabiliteitsgegevens van de fabrikant

Polyolefine Natriumchloride 0,9% > 0,1 mg/ml 37°C Licht
48 Uur
3655
Stabiliteitsgegevens van de fabrikant

Polyolefine Glucose 5% > 0,1 mg/ml 2-8°C Buiten invloed van licht
7 Dag
3655
Stabiliteitsgegevens van de fabrikant

Polyolefine Glucose 5% > 0,1 mg/ml 25°C Licht
96 Uur
3655
Stabiliteitsgegevens van de fabrikant

Polyolefine Glucose 5% > 0,1 mg/ml 37°C Licht
48 Uur
3655
Stabiliteitsgegevens van de fabrikant

injectiespuit polypropyleen Water voor injectie (geconserveerd) 10 & 20 mg/ml 23°C Niet gespecificeerd
31 Dag
1411
Niveau van bewijs B+

injectiespuit polypropyleen Water voor injectie (geconserveerd) 10 & 20 mg/ml 32°C Niet gespecificeerd
7 Dag
1411
Niveau van bewijs B+

injectiespuit polypropyleen Water voor injectie (geconserveerd) 10 & 20 mg/ml 4°C Buiten invloed van licht
31 Dag
1411
Niveau van bewijs B+


  Mentions Légales