Last update :
17/12/2025
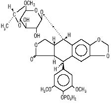
Anticancer drug   Etoposide phosphate  
injection
Stability in solutions Stability of mixtures Factors which affect stability Compatibility Route of administration References pdf
   Chemical structure  

Tradename   Tradename     

Trade names are indicative and excipients composition can be different depending on the country and manufacturers

Etopofos Austria, Greece, Sweden
Etopophos Belgium, Bulgaria, France, Germany, Great Britain, Israel, Luxembourg, Netherlands, New Zealand, Poland, Switzerland, United States of America
Stability in solutions   injection   Stability in solutions : Etoposide phosphate     
Container Solvent Concentration Temperature Storage Duration of stability References
Glass Water for Injection 10 & 20 mg/ml 2-8°C Protect from light
7 Day
3655
Manufacturer's stability data

Glass Water for Injection 10 & 20 mg/ml 25°C Light
96 Hour
3655
Manufacturer's stability data

Glass Water for Injection 10 & 20 mg/ml 37°C Light
48 Hour
3655
Manufacturer's stability data

Glass Sodium chloride 0,9% > 0,1 mg/ml 2-8°C Protect from light
7 Day
3655
Manufacturer's stability data

Glass Sodium chloride 0,9% > 0,1 mg/ml 25°C Light
96 Hour
3655
Manufacturer's stability data

Glass Sodium chloride 0,9% > 0,1 mg/ml 37°C Light
48 Hour
3655
Manufacturer's stability data

Glass Sodium chloride 0,9% 10 & 20 mg/ml 2-8°C Protect from light
7 Day
3655
Manufacturer's stability data

Glass Sodium chloride 0,9% 10 & 20 mg/ml 25°C Light
96 Hour
3655
Manufacturer's stability data

Glass Sodium chloride 0,9% 10 & 20 mg/ml 37°C Light
48 Hour
3655
Manufacturer's stability data

Glass Glucose 5% > 0,1 mg/ml 2-8°C Protect from light
7 Day
3655
Manufacturer's stability data

Glass Glucose 5% > 0,1 mg/ml 25°C Light
96 Hour
3655
Manufacturer's stability data

Glass Glucose 5% > 0,1 mg/ml 37°C Light
48 Hour
3655
Manufacturer's stability data

Glass Glucose 5% 10 & 20 mg/ml 2-8°C Protect from light
7 Day
3655
Manufacturer's stability data

Glass Glucose 5% 10 & 20 mg/ml 25°C Light
96 Hour
3655
Manufacturer's stability data

Glass Glucose 5% 10 & 20 mg/ml 37°C Light
48 Hour
3655
Manufacturer's stability data

Polyvinyl chloride Sodium chloride 0,9% > 0,1 mg/ml 2-8°C Protect from light
7 Day
3655
Manufacturer's stability data

Polyvinyl chloride Sodium chloride 0,9% > 0,1 mg/ml 25°C Light
96 Hour
3655
Manufacturer's stability data

Polyvinyl chloride Sodium chloride 0,9% > 0,1 mg/ml 37°C Light
48 Hour
3655
Manufacturer's stability data

Polyvinyl chloride Sodium chloride 0,9% 0,1 & 10 mg/ml 23°C Not specified
31 Day
1411
Level of evidence B+

Polyvinyl chloride Sodium chloride 0,9% 0,1 & 10 mg/ml 32°C Not specified
7 Day
1411
Level of evidence B+

Polyvinyl chloride Sodium chloride 0,9% 0,1 & 10 mg/ml 4°C Protect from light
31 Day
1411
Level of evidence B+

Polyvinyl chloride Glucose 5% > 0,1 mg/ml 2-8°C Protect from light
7 Day
3655
Manufacturer's stability data

Polyvinyl chloride Glucose 5% > 0,1 mg/ml 25°C Light
96 Hour
3655
Manufacturer's stability data

Polyvinyl chloride Glucose 5% > 0,1 mg/ml 37°C Light
48 Hour
3655
Manufacturer's stability data

Polyvinyl chloride Glucose 5% 0,1 & 10 mg/ml 23°C Not specified
31 Day
1411
Level of evidence B+

Polyvinyl chloride Glucose 5% 0,1 & 10 mg/ml 32°C Not specified
7 Day
1411
Level of evidence B+

Polyvinyl chloride Glucose 5% 0,1 & 10 mg/ml 4°C Protect from light
31 Day
1411
Level of evidence B+

Polyolefine Sodium chloride 0,9% > 0,1 mg/ml 2-8°C Protect from light
7 Day
3655
Manufacturer's stability data

Polyolefine Sodium chloride 0,9% > 0,1 mg/ml 25°C Light
96 Hour
3655
Manufacturer's stability data

Polyolefine Sodium chloride 0,9% > 0,1 mg/ml 37°C Light
48 Hour
3655
Manufacturer's stability data

Polyolefine Glucose 5% > 0,1 mg/ml 2-8°C Protect from light
7 Day
3655
Manufacturer's stability data

Polyolefine Glucose 5% > 0,1 mg/ml 25°C Light
96 Hour
3655
Manufacturer's stability data

Polyolefine Glucose 5% > 0,1 mg/ml 37°C Light
48 Hour
3655
Manufacturer's stability data

Polypropylen Syringe Water for injection + antibacterial 10 & 20 mg/ml 23°C Not specified
31 Day
1411
Level of evidence B+

Polypropylen Syringe Water for injection + antibacterial 10 & 20 mg/ml 32°C Not specified
7 Day
1411
Level of evidence B+

Polypropylen Syringe Water for injection + antibacterial 10 & 20 mg/ml 4°C Protect from light
31 Day
1411
Level of evidence B+


  Mentions Légales