Zadnji put ažurirano :
17/12/2025
lijek protiv karcinoma   Etoposide phosphate  
injekcija
Stabilizacija rješenja Stabilnost mješavine Stabilizacijski faktor Kompatibilnosti način davanja lijeka Bibliografija pdf
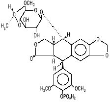
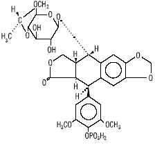
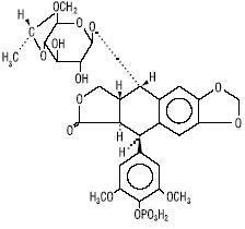
   Kemijska struktura  

Nekomercijalni   Nekomercijalni     

Zaštićeni nazivi su indikativni i sastav ekscipijensa može biti različit ovisno o državi i laboratorijima

Etopofos Austrija, Grčka, Švedska
Etopophos Belgija, Bugarska, Francuska, Izrael, Luksemburg, Nizozemska, Njemačka, novi Zeland, Poljska, S A D, Švicarska, Velika Britanija
Stabilizacija rješenja   injekcija   Stabilizacija rješenja : Etoposide phosphate     
Kontejner sredstvo za rastapanje koncentracija temperatura Konzerviranje Trajanje stabilnosti Bibliografija
čaša čista voda za injektiranje 10 & 20 mg/ml 2-8°C Zaštićeno od svjetlosti
7 dan
3655
Podaci proizvođača o stabilnosti

čaša čista voda za injektiranje 10 & 20 mg/ml 25°C svjetlost
96 sat
3655
Podaci proizvođača o stabilnosti

čaša čista voda za injektiranje 10 & 20 mg/ml 37°C svjetlost
48 sat
3655
Podaci proizvođača o stabilnosti

čaša natrijumkorid 0,9% > 0,1 mg/ml 2-8°C Zaštićeno od svjetlosti
7 dan
3655
Podaci proizvođača o stabilnosti

čaša natrijumkorid 0,9% > 0,1 mg/ml 25°C svjetlost
96 sat
3655
Podaci proizvođača o stabilnosti

čaša natrijumkorid 0,9% > 0,1 mg/ml 37°C svjetlost
48 sat
3655
Podaci proizvođača o stabilnosti

čaša natrijumkorid 0,9% 10 & 20 mg/ml 2-8°C Zaštićeno od svjetlosti
7 dan
3655
Podaci proizvođača o stabilnosti

čaša natrijumkorid 0,9% 10 & 20 mg/ml 25°C svjetlost
96 sat
3655
Podaci proizvođača o stabilnosti

čaša natrijumkorid 0,9% 10 & 20 mg/ml 37°C svjetlost
48 sat
3655
Podaci proizvođača o stabilnosti

čaša glukoza 5% > 0,1 mg/ml 2-8°C Zaštićeno od svjetlosti
7 dan
3655
Podaci proizvođača o stabilnosti

čaša glukoza 5% > 0,1 mg/ml 25°C svjetlost
96 sat
3655
Podaci proizvođača o stabilnosti

čaša glukoza 5% > 0,1 mg/ml 37°C svjetlost
48 sat
3655
Podaci proizvođača o stabilnosti

čaša glukoza 5% 10 & 20 mg/ml 2-8°C Zaštićeno od svjetlosti
7 dan
3655
Podaci proizvođača o stabilnosti

čaša glukoza 5% 10 & 20 mg/ml 25°C svjetlost
96 sat
3655
Podaci proizvođača o stabilnosti

čaša glukoza 5% 10 & 20 mg/ml 37°C svjetlost
48 sat
3655
Podaci proizvođača o stabilnosti

polivinilklorid natrijumkorid 0,9% > 0,1 mg/ml 2-8°C Zaštićeno od svjetlosti
7 dan
3655
Podaci proizvođača o stabilnosti

polivinilklorid natrijumkorid 0,9% > 0,1 mg/ml 25°C svjetlost
96 sat
3655
Podaci proizvođača o stabilnosti

polivinilklorid natrijumkorid 0,9% > 0,1 mg/ml 37°C svjetlost
48 sat
3655
Podaci proizvođača o stabilnosti

polivinilklorid natrijumkorid 0,9% 0,1 & 10 mg/ml 23°C nespecifičan
31 dan
1411
Razina dokaza B+

polivinilklorid natrijumkorid 0,9% 0,1 & 10 mg/ml 32°C nespecifičan
7 dan
1411
Razina dokaza B+

polivinilklorid natrijumkorid 0,9% 0,1 & 10 mg/ml 4°C Zaštićeno od svjetlosti
31 dan
1411
Razina dokaza B+

polivinilklorid glukoza 5% > 0,1 mg/ml 2-8°C Zaštićeno od svjetlosti
7 dan
3655
Podaci proizvođača o stabilnosti

polivinilklorid glukoza 5% > 0,1 mg/ml 25°C svjetlost
96 sat
3655
Podaci proizvođača o stabilnosti

polivinilklorid glukoza 5% > 0,1 mg/ml 37°C svjetlost
48 sat
3655
Podaci proizvođača o stabilnosti

polivinilklorid glukoza 5% 0,1 & 10 mg/ml 23°C nespecifičan
31 dan
1411
Razina dokaza B+

polivinilklorid glukoza 5% 0,1 & 10 mg/ml 32°C nespecifičan
7 dan
1411
Razina dokaza B+

polivinilklorid glukoza 5% 0,1 & 10 mg/ml 4°C Zaštićeno od svjetlosti
31 dan
1411
Razina dokaza B+

poliolefin natrijumkorid 0,9% > 0,1 mg/ml 2-8°C Zaštićeno od svjetlosti
7 dan
3655
Podaci proizvođača o stabilnosti

poliolefin natrijumkorid 0,9% > 0,1 mg/ml 25°C svjetlost
96 sat
3655
Podaci proizvođača o stabilnosti

poliolefin natrijumkorid 0,9% > 0,1 mg/ml 37°C svjetlost
48 sat
3655
Podaci proizvođača o stabilnosti

poliolefin glukoza 5% > 0,1 mg/ml 2-8°C Zaštićeno od svjetlosti
7 dan
3655
Podaci proizvođača o stabilnosti

poliolefin glukoza 5% > 0,1 mg/ml 25°C svjetlost
96 sat
3655
Podaci proizvođača o stabilnosti

poliolefin glukoza 5% > 0,1 mg/ml 37°C svjetlost
48 sat
3655
Podaci proizvođača o stabilnosti

špric polipropilen voda ppi i bakteriostaticna 10 & 20 mg/ml 23°C nespecifičan
31 dan
1411
Razina dokaza B+

špric polipropilen voda ppi i bakteriostaticna 10 & 20 mg/ml 32°C nespecifičan
7 dan
1411
Razina dokaza B+

špric polipropilen voda ppi i bakteriostaticna 10 & 20 mg/ml 4°C Zaštićeno od svjetlosti
31 dan
1411
Razina dokaza B+


  Mentions Légales