Последнее обновление :
27/04/2026
Антибиотик   Tobramycin sulfate  
Инъекция
Аэрозоль Глазные капли Раствор для перорального приёма
Стабильность растворов Стабильность смесей Факторы, которые влияют на стабильность Совместимость Способы введения Библиография pdf
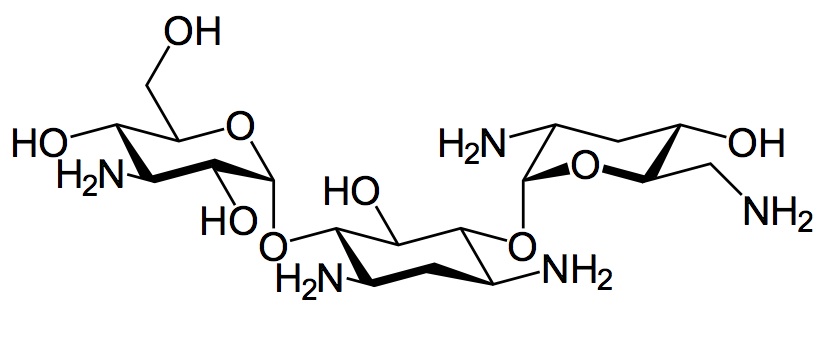
   Химическая структура  

Товарное название   Товарное название     

Trade names are indicative and excipients composition can be different depending on the country and manufacturers

Bactob Индия
Beltob Индия
Bramicil Италия
Brulamycin Венгрия, Малайзия, Словения
Eltol Индия
Fytobra Индия
Gernebcin Германия
Komitob Индия
Nebcin Великобритания, Греция, Египет, новая Зеландия, Объединенные Арабские Эмираты, Саудовская Аравия
Nebcina Дания, Марокко, Норвегия, Швеция
Nebcine Марокко, Словения, Франция
Nebicina Италия
Obracin Бельгия, Голландия, Люксембург, Швейцария
Tobracin Бразилия, Египет, Саудовская Аравия
Tobramicina Аргентина, Бразилия, Испания, Италия, Колумбия, Португалия, чили, Эквадор
Tobramina Бразилия
Tobramycin Австралия, Великобритания, Германия, Ирландия, Канада, Норвегия, Саудовская Аравия, Соединённые Штаты Америки
Tobramycine Голландия, Ирландия, Франция
Tobrasix Австрия
Tobrazid Германия
Стабильность смесей   Инъекция   Стабильность смесей : Tobramycin sulfate     
Упаковка Растворитель Концентрация Молекула Температура Хранение Продолжительность стабильности Ссылки
Стекло Глюкоза 5% 3,2 mg/ml
Инъекция   Tobramycin sulfate   
Инъекция   Filgrastim 40 µg/ml
25°C
4 Час
Не указано 104
Уровень доказательности B
Стекло Нет 0,8 mg/ml
Инъекция   Tobramycin sulfate   
Инъекция   Ofloxacin 2 mg/ml
25°C
48 Час
Не указано 889
Уровень доказательности D
Поливинилхлорид Натрия хлорид 0,9% 1,2 mg/ml
Инъекция   Tobramycin sulfate   
Инъекция   Clindamycin phosphate 9 mg/ml
-20°C
28 День
Защищён от света 565
Уровень доказательности D
Поливинилхлорид Натрия хлорид 0,9% 1 mg/ml
Инъекция   Tobramycin sulfate   
Инъекция   Ciprofloxacin lactate 1,5 mg/ml
25°C
48 Час
Свет 434
Поливинилхлорид Натрия хлорид 0,9% 0,2 & 0,8 mg/ml
Инъекция   Tobramycin sulfate   
Инъекция   Aztreonam 10 & 20 mg/ml
25°C
48 Час
Не указано 19
Уровень доказательности D
Поливинилхлорид Натрия хлорид 0,9% 0,2 mg/ml
Инъекция   Tobramycin sulfate   
Инъекция   Aztreonam 10 & 20 mg/ml
4°C
7 День
Защищён от света 19
Уровень доказательности D
Поливинилхлорид Натрия хлорид 0,9% 0,2 & 0,8 mg/ml
Инъекция   Tobramycin sulfate   
Инъекция   Aztreonam 10 & 20 mg/ml
4°C
7 День
Защищён от света 19
Уровень доказательности D
Поливинилхлорид Натрия хлорид 0,9% 1 mg/ml
Инъекция   Tobramycin sulfate   
Инъекция   Ciprofloxacin lactate 1,5 mg/ml
4°C
48 Час
Защищён от света 434
Поливинилхлорид Глюкоза 5% 1,2 mg/ml
Инъекция   Tobramycin sulfate   
Инъекция   Clindamycin phosphate 9 mg/ml
-20°C
14 День
Защищён от света 565
Уровень доказательности D
Поливинилхлорид Глюкоза 5% 1 mg/ml
Инъекция   Tobramycin sulfate   
Инъекция   Ciprofloxacin lactate 1,5 mg/ml
25°C
48 Час
Свет 434
Поливинилхлорид Глюкоза 5% 0,2 & 0,8 mg/ml
Инъекция   Tobramycin sulfate   
Инъекция   Aztreonam 10 & 20 mg/ml
25°C
48 Час
Не указано 19
Уровень доказательности D
Поливинилхлорид Глюкоза 5% 0,2 mg/ml
Инъекция   Tobramycin sulfate   
Инъекция   Aztreonam 10 & 20 mg/ml
4°C
7 День
Защищён от света 19
Уровень доказательности D
Поливинилхлорид Глюкоза 5% 0,2 & 0,8 mg/ml
Инъекция   Tobramycin sulfate   
Инъекция   Aztreonam 10 & 20 mg/ml
4°C
7 День
Защищён от света 19
Уровень доказательности D
Поливинилхлорид Глюкоза 5% 1 mg/ml
Инъекция   Tobramycin sulfate   
Инъекция   Ciprofloxacin lactate 1,5 mg/ml
4°C
48 Час
Защищён от света 434
Поливинилхлорид Dianéal® PD2 2.5% glucose (Baxter) 0,008 mg/ml
Инъекция   Tobramycin sulfate   
Инъекция   Ceftazidime 0,125 mg/ml
24°C
16 Час
Не указано 2369
Уровень доказательности B
Поливинилхлорид Dianéal® PD2 2.5% glucose (Baxter) 0,008 mg/ml
Инъекция   Tobramycin sulfate   
Инъекция   Ceftazidime 0,125 mg/ml
37°C
8 Час
Не указано 2369
Уровень доказательности B
Полиолефин Нет 0,80 mg/ml
Инъекция   Tobramycin sulfate   
Инъекция   Linezolid 1,80 mg/ml
23°C
1 День
Защищён от света 2353
Уровень доказательности B +
Полиолефин Нет 0,80 mg/ml
Инъекция   Tobramycin sulfate   
Инъекция   Linezolid 1,80 mg/ml
4°C
7 День
Защищён от света 2353
Уровень доказательности B +

  Mentions Légales