Последно актуализиране :
27/04/2026
Антибиотик   Tobramycin sulfate  
Инжекция/Инжекционен
Аерозол Капки за очи Орален разтвор
Стабилност на разтвори Стабилност на смеси Фактори, повлияващи стабилността Съвместимост Път на въвеждане Библиография Pdf
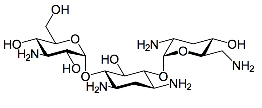
   Химична структура  

Търговско наименование   Търговско наименование     

Търговските имена са примерни и съставът на помощните вещества може да бъде различен в зависимост от държавата и лабораториите

Bactob Индия
Beltob Индия
Bramicil Италия
Brulamycin Малайзия, Словения, Унгария
Eltol Индия
Fytobra Индия
Gernebcin Германия
Komitob Индия
Nebcin Великобритания, Гърция, Египет, нова Зеландия, Обединени арабски емирства, Саудитска Арабия
Nebcina Дания, Мароко, Норвегия, Швеция
Nebcine Мароко, Словения, Франция
Nebicina Италия
Obracin Белгия, Люксенбург, Холандия, Швейцария
Tobracin Бразилия, Египет, Саудитска Арабия
Tobramicina Аржентина, Бразилия, Еквадор, Испания, Италия, Колумбия, Португалия, Чили
Tobramina Бразилия
Tobramycin Австралия, Великобритания, Германия, Ирландия, Канада, Норвегия, Саудитска Арабия, Съединени Американски щати / САЩ
Tobramycine Ирландия, Франция, Холандия
Tobrasix Австрия
Tobrazid Германия
Стабилност на смеси   Инжекция/Инжекционен   Стабилност на смеси : Tobramycin sulfate     
Контейнер Разтворител Концентрация Състав / молекула Температура Съхранение Продължителност на стабилността Библиография
Стъкло Glucose 5% 3,2 mg/ml
Инжекция/Инжекционен   Tobramycin sulfate   
Инжекция/Инжекционен   Filgrastim 40 µg/ml
25°C
4 Час
Не е уточнено 104
Степен на доказаност B
Стъкло Няма 0,8 mg/ml
Инжекция/Инжекционен   Tobramycin sulfate   
Инжекция/Инжекционен   Ofloxacin 2 mg/ml
25°C
48 Час
Не е уточнено 889
Степен на доказаност D
Поливинил хлорид Sodium chloride 0,9% 1,2 mg/ml
Инжекция/Инжекционен   Tobramycin sulfate   
Инжекция/Инжекционен   Clindamycin phosphate 9 mg/ml
-20°C
28 Ден
Защита от светлина 565
Степен на доказаност D
Поливинил хлорид Sodium chloride 0,9% 1 mg/ml
Инжекция/Инжекционен   Tobramycin sulfate   
Инжекция/Инжекционен   Ciprofloxacin lactate 1,5 mg/ml
25°C
48 Час
Светлина 434
Поливинил хлорид Sodium chloride 0,9% 0,2 & 0,8 mg/ml
Инжекция/Инжекционен   Tobramycin sulfate   
Инжекция/Инжекционен   Aztreonam 10 & 20 mg/ml
25°C
48 Час
Не е уточнено 19
Степен на доказаност D
Поливинил хлорид Sodium chloride 0,9% 0,2 mg/ml
Инжекция/Инжекционен   Tobramycin sulfate   
Инжекция/Инжекционен   Aztreonam 10 & 20 mg/ml
4°C
7 Ден
Защита от светлина 19
Степен на доказаност D
Поливинил хлорид Sodium chloride 0,9% 0,2 & 0,8 mg/ml
Инжекция/Инжекционен   Tobramycin sulfate   
Инжекция/Инжекционен   Aztreonam 10 & 20 mg/ml
4°C
7 Ден
Защита от светлина 19
Степен на доказаност D
Поливинил хлорид Sodium chloride 0,9% 1 mg/ml
Инжекция/Инжекционен   Tobramycin sulfate   
Инжекция/Инжекционен   Ciprofloxacin lactate 1,5 mg/ml
4°C
48 Час
Защита от светлина 434
Поливинил хлорид Glucose 5% 1,2 mg/ml
Инжекция/Инжекционен   Tobramycin sulfate   
Инжекция/Инжекционен   Clindamycin phosphate 9 mg/ml
-20°C
14 Ден
Защита от светлина 565
Степен на доказаност D
Поливинил хлорид Glucose 5% 1 mg/ml
Инжекция/Инжекционен   Tobramycin sulfate   
Инжекция/Инжекционен   Ciprofloxacin lactate 1,5 mg/ml
25°C
48 Час
Светлина 434
Поливинил хлорид Glucose 5% 0,2 & 0,8 mg/ml
Инжекция/Инжекционен   Tobramycin sulfate   
Инжекция/Инжекционен   Aztreonam 10 & 20 mg/ml
25°C
48 Час
Не е уточнено 19
Степен на доказаност D
Поливинил хлорид Glucose 5% 0,2 mg/ml
Инжекция/Инжекционен   Tobramycin sulfate   
Инжекция/Инжекционен   Aztreonam 10 & 20 mg/ml
4°C
7 Ден
Защита от светлина 19
Степен на доказаност D
Поливинил хлорид Glucose 5% 0,2 & 0,8 mg/ml
Инжекция/Инжекционен   Tobramycin sulfate   
Инжекция/Инжекционен   Aztreonam 10 & 20 mg/ml
4°C
7 Ден
Защита от светлина 19
Степен на доказаност D
Поливинил хлорид Glucose 5% 1 mg/ml
Инжекция/Инжекционен   Tobramycin sulfate   
Инжекция/Инжекционен   Ciprofloxacin lactate 1,5 mg/ml
4°C
48 Час
Защита от светлина 434
Поливинил хлорид Dianéal® PD2 2.5% glucose (Baxter) 0,008 mg/ml
Инжекция/Инжекционен   Tobramycin sulfate   
Инжекция/Инжекционен   Ceftazidime 0,125 mg/ml
24°C
16 Час
Не е уточнено 2369
Степен на доказаност B
Поливинил хлорид Dianéal® PD2 2.5% glucose (Baxter) 0,008 mg/ml
Инжекция/Инжекционен   Tobramycin sulfate   
Инжекция/Инжекционен   Ceftazidime 0,125 mg/ml
37°C
8 Час
Не е уточнено 2369
Степен на доказаност B
Полиолефин Няма 0,80 mg/ml
Инжекция/Инжекционен   Tobramycin sulfate   
Инжекция/Инжекционен   Linezolid 1,80 mg/ml
23°C
1 Ден
Защита от светлина 2353
Степен на доказаност B+
Полиолефин Няма 0,80 mg/ml
Инжекция/Инжекционен   Tobramycin sulfate   
Инжекция/Инжекционен   Linezolid 1,80 mg/ml
4°C
7 Ден
Защита от светлина 2353
Степен на доказаност B+

  Mentions Légales