Letztes “update” :
27/04/2026
Antibiotikum   Tobramycin sulfate  
Injektion
Aerosol Augentropfen Lösung zum Einnehmen
Stabilität der Lösung Gemengestabilität Stabilitätbeeinflussende Faktoren Kompatibilitäten Applikationsart Literaturverzeichnis pdf
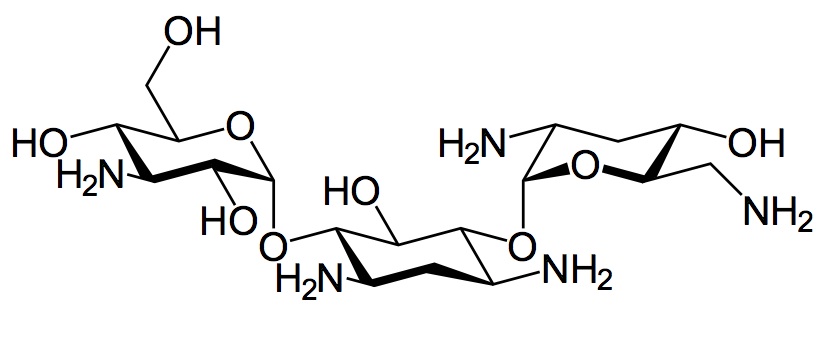
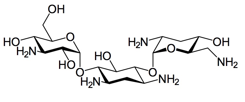
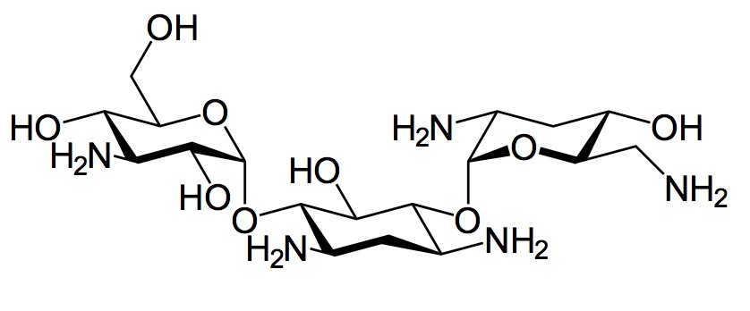
   Chemische Struktur  

Handelsmarke   Handelsmarke     

Handelsnamen sind als beispielhaft anzusehen. Sonstige Bestandteile können je nach Hersteller oder Land verschieden sein

Bactob Indien
Beltob Indien
Bramicil Italien
Brulamycin Malaysia, Slowenien, Ungarn
Eltol Indien
Fytobra Indien
Gernebcin Deutschland
Komitob Indien
Nebcin Ägypten, Griechenland, Großbritannien, Neuseeland, Saudi-Arabien, Vereinigte Arabische Emirate
Nebcina Dänemark, Marokko, Norwegen, Schweden
Nebcine Frankreich, Marokko, Slowenien
Nebicina Italien
Obracin Belgien, Luxemburg, Niederlande, Schweiz
Tobracin Ägypten, Brasilien, Saudi-Arabien
Tobramicina Argentinien, Brasilien, Chile, Ecuador, Italien, Kolumbien, Portugal, Spanien
Tobramina Brasilien
Tobramycin Australien, Deutschland, Großbritannien, Irland, Kanada, Norwegen, Saudi-Arabien, Vereinigte Staaten von Amerika
Tobramycine Frankreich, Irland, Niederlande
Tobrasix Österreich
Tobrazid Deutschland
Gemengestabilität   Injektion   Gemengestabilität : Tobramycin sulfate     
Behälter Lösungsmittel Konzentration Molekül Temperatur Konservierung Dauer der Stabilität Literaturverzeichnis
Glas 5% Glucose 3,2 mg/ml
Injektion   Tobramycin sulfate   
Injektion   Filgrastim 40 µg/ml
25°C
4 Stunde
Nicht genau angegeben 104
Evidenzgrad B
Glas Kein 0,8 mg/ml
Injektion   Tobramycin sulfate   
Injektion   Ofloxacin 2 mg/ml
25°C
48 Stunde
Nicht genau angegeben 889
Evidenzgrad D
Polyvinylchlorid 0,9% Natriumchlorid 1,2 mg/ml
Injektion   Tobramycin sulfate   
Injektion   Clindamycin phosphate 9 mg/ml
-20°C
28 Tag
Ohne Licht 565
Evidenzgrad D
Polyvinylchlorid 0,9% Natriumchlorid 1 mg/ml
Injektion   Tobramycin sulfate   
Injektion   Ciprofloxacin lactate 1,5 mg/ml
25°C
48 Stunde
Licht 434
Polyvinylchlorid 0,9% Natriumchlorid 0,2 & 0,8 mg/ml
Injektion   Tobramycin sulfate   
Injektion   Aztreonam 10 & 20 mg/ml
25°C
48 Stunde
Nicht genau angegeben 19
Evidenzgrad D
Polyvinylchlorid 0,9% Natriumchlorid 0,2 mg/ml
Injektion   Tobramycin sulfate   
Injektion   Aztreonam 10 & 20 mg/ml
4°C
7 Tag
Ohne Licht 19
Evidenzgrad D
Polyvinylchlorid 0,9% Natriumchlorid 0,2 & 0,8 mg/ml
Injektion   Tobramycin sulfate   
Injektion   Aztreonam 10 & 20 mg/ml
4°C
7 Tag
Ohne Licht 19
Evidenzgrad D
Polyvinylchlorid 0,9% Natriumchlorid 1 mg/ml
Injektion   Tobramycin sulfate   
Injektion   Ciprofloxacin lactate 1,5 mg/ml
4°C
48 Stunde
Ohne Licht 434
Polyvinylchlorid 5% Glucose 1,2 mg/ml
Injektion   Tobramycin sulfate   
Injektion   Clindamycin phosphate 9 mg/ml
-20°C
14 Tag
Ohne Licht 565
Evidenzgrad D
Polyvinylchlorid 5% Glucose 1 mg/ml
Injektion   Tobramycin sulfate   
Injektion   Ciprofloxacin lactate 1,5 mg/ml
25°C
48 Stunde
Licht 434
Polyvinylchlorid 5% Glucose 0,2 & 0,8 mg/ml
Injektion   Tobramycin sulfate   
Injektion   Aztreonam 10 & 20 mg/ml
25°C
48 Stunde
Nicht genau angegeben 19
Evidenzgrad D
Polyvinylchlorid 5% Glucose 0,2 mg/ml
Injektion   Tobramycin sulfate   
Injektion   Aztreonam 10 & 20 mg/ml
4°C
7 Tag
Ohne Licht 19
Evidenzgrad D
Polyvinylchlorid 5% Glucose 0,2 & 0,8 mg/ml
Injektion   Tobramycin sulfate   
Injektion   Aztreonam 10 & 20 mg/ml
4°C
7 Tag
Ohne Licht 19
Evidenzgrad D
Polyvinylchlorid 5% Glucose 1 mg/ml
Injektion   Tobramycin sulfate   
Injektion   Ciprofloxacin lactate 1,5 mg/ml
4°C
48 Stunde
Ohne Licht 434
Polyvinylchlorid Dianéal® PD2 2.5% glucose (Baxter) 0,008 mg/ml
Injektion   Tobramycin sulfate   
Injektion   Ceftazidime 0,125 mg/ml
24°C
16 Stunde
Nicht genau angegeben 2369
Evidenzgrad B
Polyvinylchlorid Dianéal® PD2 2.5% glucose (Baxter) 0,008 mg/ml
Injektion   Tobramycin sulfate   
Injektion   Ceftazidime 0,125 mg/ml
37°C
8 Stunde
Nicht genau angegeben 2369
Evidenzgrad B
Polyolefin Kein 0,80 mg/ml
Injektion   Tobramycin sulfate   
Injektion   Linezolid 1,80 mg/ml
23°C
1 Tag
Ohne Licht 2353
Evidenzgrad B+
Polyolefin Kein 0,80 mg/ml
Injektion   Tobramycin sulfate   
Injektion   Linezolid 1,80 mg/ml
4°C
7 Tag
Ohne Licht 2353
Evidenzgrad B+

  Mentions Légales