Última actualização :
27/04/2026
antibiótico   Tobramycin sulfate  
injetável
aerossol solução oftálmica Solução Oral
Estabilidade em soluções simples Estabilidade em misturas Factores que afectam a sua estabilidade Compatibilidade Método de administração Bibliografía pdf
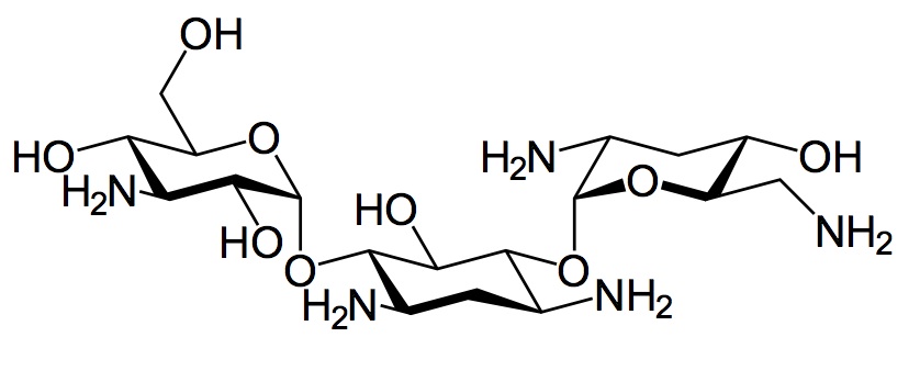
   estrutura química  

Nomes comerciais nos diversos países   Nomes comerciais nos diversos países     

OS NOMES COMERCIAIS SÃO INDICATIVOS E OS EXCIPIENTES DA FORMULAÇÃO PODEM SER DIFERENTES CONFORME O PAÍS E FABRICANTE.

Bactob Índia
Beltob Índia
Bramicil Itália
Brulamycin Eslovenia, Hungria, Malásia
Eltol Índia
Fytobra Índia
Gernebcin Alemanha
Komitob Índia
Nebcin Arábia Saudita, Egipto, Emirados Árabes Unidos, Gran-bretanha, Grècia, nova Zelândia
Nebcina Dinamarca, Marrocos, Noruega, Suècia
Nebcine Eslovenia, França, Marrocos
Nebicina Itália
Obracin Bélgica, Luxemburgo, Países Baixos, Suicia
Tobracin Arábia Saudita, Brasil, Egipto
Tobramicina Argentina, Brasil, Chilli, Colômbia, Equator, Espanha, Itália, Portugal
Tobramina Brasil
Tobramycin Alemanha, Arábia Saudita, Australia, Canadá, Estados Unidos de América, Gran-bretanha, Irlanda, Noruega
Tobramycine França, Irlanda, Países Baixos
Tobrasix Austria
Tobrazid Alemanha
Estabilidade em misturas   injetável   Estabilidade em misturas : Tobramycin sulfate     
Embalagem Solvente concentração molécula temperatura conservação Duração da estabilidade Bibliografia
vidro Glucose 5% 3,2 mg/ml
injetável   Tobramycin sulfate   
injetável   Filgrastim 40 µg/ml
25°C
4 hora
no especificado 104
Nível de evidência B
vidro nenhum 0,8 mg/ml
injetável   Tobramycin sulfate   
injetável   Ofloxacin 2 mg/ml
25°C
48 hora
no especificado 889
Nível de evidência D
Cloreto de polivinilo cloreto de sódio 0,9% 1,2 mg/ml
injetável   Tobramycin sulfate   
injetável   Clindamycin phosphate 9 mg/ml
-20°C
28 dia
ao abrigo da luz 565
Nível de evidência D
Cloreto de polivinilo cloreto de sódio 0,9% 1 mg/ml
injetável   Tobramycin sulfate   
injetável   Ciprofloxacin lactate 1,5 mg/ml
25°C
48 hora
luz 434
Cloreto de polivinilo cloreto de sódio 0,9% 0,2 & 0,8 mg/ml
injetável   Tobramycin sulfate   
injetável   Aztreonam 10 & 20 mg/ml
25°C
48 hora
no especificado 19
Nível de evidência D
Cloreto de polivinilo cloreto de sódio 0,9% 0,2 mg/ml
injetável   Tobramycin sulfate   
injetável   Aztreonam 10 & 20 mg/ml
4°C
7 dia
ao abrigo da luz 19
Nível de evidência D
Cloreto de polivinilo cloreto de sódio 0,9% 0,2 & 0,8 mg/ml
injetável   Tobramycin sulfate   
injetável   Aztreonam 10 & 20 mg/ml
4°C
7 dia
ao abrigo da luz 19
Nível de evidência D
Cloreto de polivinilo cloreto de sódio 0,9% 1 mg/ml
injetável   Tobramycin sulfate   
injetável   Ciprofloxacin lactate 1,5 mg/ml
4°C
48 hora
ao abrigo da luz 434
Cloreto de polivinilo Glucose 5% 1,2 mg/ml
injetável   Tobramycin sulfate   
injetável   Clindamycin phosphate 9 mg/ml
-20°C
14 dia
ao abrigo da luz 565
Nível de evidência D
Cloreto de polivinilo Glucose 5% 1 mg/ml
injetável   Tobramycin sulfate   
injetável   Ciprofloxacin lactate 1,5 mg/ml
25°C
48 hora
luz 434
Cloreto de polivinilo Glucose 5% 0,2 & 0,8 mg/ml
injetável   Tobramycin sulfate   
injetável   Aztreonam 10 & 20 mg/ml
25°C
48 hora
no especificado 19
Nível de evidência D
Cloreto de polivinilo Glucose 5% 0,2 mg/ml
injetável   Tobramycin sulfate   
injetável   Aztreonam 10 & 20 mg/ml
4°C
7 dia
ao abrigo da luz 19
Nível de evidência D
Cloreto de polivinilo Glucose 5% 0,2 & 0,8 mg/ml
injetável   Tobramycin sulfate   
injetável   Aztreonam 10 & 20 mg/ml
4°C
7 dia
ao abrigo da luz 19
Nível de evidência D
Cloreto de polivinilo Glucose 5% 1 mg/ml
injetável   Tobramycin sulfate   
injetável   Ciprofloxacin lactate 1,5 mg/ml
4°C
48 hora
ao abrigo da luz 434
Cloreto de polivinilo Dianéal® PD2 2.5% glucose (Baxter) 0,008 mg/ml
injetável   Tobramycin sulfate   
injetável   Ceftazidime 0,125 mg/ml
24°C
16 hora
no especificado 2369
Nível de evidência B
Cloreto de polivinilo Dianéal® PD2 2.5% glucose (Baxter) 0,008 mg/ml
injetável   Tobramycin sulfate   
injetável   Ceftazidime 0,125 mg/ml
37°C
8 hora
no especificado 2369
Nível de evidência B
Poliolefina nenhum 0,80 mg/ml
injetável   Tobramycin sulfate   
injetável   Linezolid 1,80 mg/ml
23°C
1 dia
ao abrigo da luz 2353
Nível de evidência B+
Poliolefina nenhum 0,80 mg/ml
injetável   Tobramycin sulfate   
injetável   Linezolid 1,80 mg/ml
4°C
7 dia
ao abrigo da luz 2353
Nível de evidência B+

  Mentions Légales