最新更新 :
27/04/2026
抗生素   Tobramycin sulfate  
注射液
口服剂 气雾剂 眼药水
溶液稳定性 混合物稳定性 影响稳定性的因素 兼容性 用药途径 引用文献 PDF
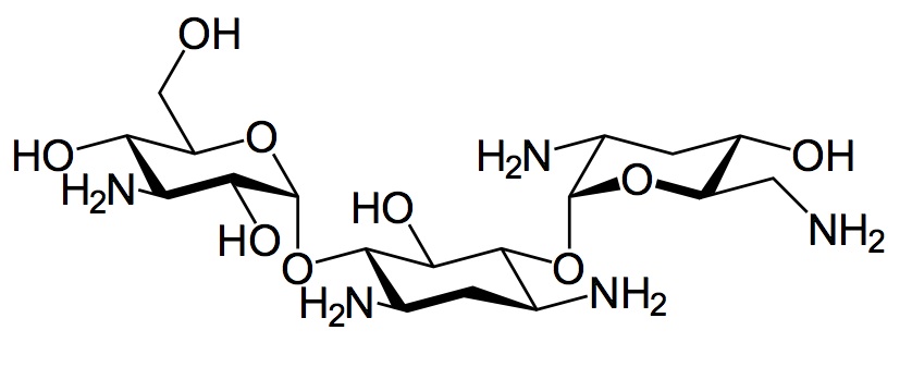
   化学式  

商品名   商品名     

商品名仅供参考, 药品所用的辅料可能依国家或厂商不同有所不同。

Bactob 印度
Beltob 印度
Bramicil 意大利
Brulamycin 匈牙利, 斯洛文尼亚, 马来西亚
Eltol 印度
Fytobra 印度
Gernebcin 德国
Komitob 印度
Nebcin 埃及, 希腊, 新西蘭, 沙特阿拉伯, 英国, 阿联酋
Nebcina 丹麦, 挪威, 摩洛哥, 瑞典
Nebcine 摩洛哥, 斯洛文尼亚, 法国
Nebicina 意大利
Obracin 卢森堡, 比利时, 瑞士, 荷兰
Tobracin 埃及, 巴西, 沙特阿拉伯
Tobramicina 厄瓜多尔, 哥伦比亚, 巴西, 意大利, 智利, 葡萄牙, 西班牙, 阿根廷
Tobramina 巴西
Tobramycin 加拿大, 德国, 挪威, 沙特阿拉伯, 澳大利亚, 爱尔兰, 美国, 英国
Tobramycine 法国, 爱尔兰, 荷兰
Tobrasix 奥地利
Tobrazid 德国
混合物稳定性   注射液   混合物稳定性 : Tobramycin sulfate     
容器 溶剂 浓度 分子 温度 保存 穩定持續時間 引用文献
玻璃 葡萄糖5% 3,2 mg/ml
注射液   Tobramycin sulfate   
注射液   Filgrastim 40 µg/ml
25°C
4 小时
无特殊要求 104
B级
玻璃 无 0,8 mg/ml
注射液   Tobramycin sulfate   
注射液   Ofloxacin 2 mg/ml
25°C
48 小时
无特殊要求 889
D级
聚氯乙烯 NaCl 0,9% 1,2 mg/ml
注射液   Tobramycin sulfate   
注射液   Clindamycin phosphate 9 mg/ml
-20°C
28 白天
避光 565
D级
聚氯乙烯 NaCl 0,9% 1 mg/ml
注射液   Tobramycin sulfate   
注射液   Ciprofloxacin lactate 1,5 mg/ml
25°C
48 小时
光 434
聚氯乙烯 NaCl 0,9% 0,2 & 0,8 mg/ml
注射液   Tobramycin sulfate   
注射液   Aztreonam 10 & 20 mg/ml
25°C
48 小时
无特殊要求 19
D级
聚氯乙烯 NaCl 0,9% 0,2 mg/ml
注射液   Tobramycin sulfate   
注射液   Aztreonam 10 & 20 mg/ml
4°C
7 白天
避光 19
D级
聚氯乙烯 NaCl 0,9% 0,2 & 0,8 mg/ml
注射液   Tobramycin sulfate   
注射液   Aztreonam 10 & 20 mg/ml
4°C
7 白天
避光 19
D级
聚氯乙烯 NaCl 0,9% 1 mg/ml
注射液   Tobramycin sulfate   
注射液   Ciprofloxacin lactate 1,5 mg/ml
4°C
48 小时
避光 434
聚氯乙烯 葡萄糖5% 1,2 mg/ml
注射液   Tobramycin sulfate   
注射液   Clindamycin phosphate 9 mg/ml
-20°C
14 白天
避光 565
D级
聚氯乙烯 葡萄糖5% 1 mg/ml
注射液   Tobramycin sulfate   
注射液   Ciprofloxacin lactate 1,5 mg/ml
25°C
48 小时
光 434
聚氯乙烯 葡萄糖5% 0,2 & 0,8 mg/ml
注射液   Tobramycin sulfate   
注射液   Aztreonam 10 & 20 mg/ml
25°C
48 小时
无特殊要求 19
D级
聚氯乙烯 葡萄糖5% 0,2 mg/ml
注射液   Tobramycin sulfate   
注射液   Aztreonam 10 & 20 mg/ml
4°C
7 白天
避光 19
D级
聚氯乙烯 葡萄糖5% 0,2 & 0,8 mg/ml
注射液   Tobramycin sulfate   
注射液   Aztreonam 10 & 20 mg/ml
4°C
7 白天
避光 19
D级
聚氯乙烯 葡萄糖5% 1 mg/ml
注射液   Tobramycin sulfate   
注射液   Ciprofloxacin lactate 1,5 mg/ml
4°C
48 小时
避光 434
聚氯乙烯 Dianéal® PD2 2.5% 葡萄糖 (Baxter) 0,008 mg/ml
注射液   Tobramycin sulfate   
注射液   Ceftazidime 0,125 mg/ml
24°C
16 小时
无特殊要求 2369
B级
聚氯乙烯 Dianéal® PD2 2.5% 葡萄糖 (Baxter) 0,008 mg/ml
注射液   Tobramycin sulfate   
注射液   Ceftazidime 0,125 mg/ml
37°C
8 小时
无特殊要求 2369
B级
聚烯烃 无 0,80 mg/ml
注射液   Tobramycin sulfate   
注射液   Linezolid 1,80 mg/ml
23°C
1 白天
避光 2353
B+级
聚烯烃 无 0,80 mg/ml
注射液   Tobramycin sulfate   
注射液   Linezolid 1,80 mg/ml
4°C
7 白天
避光 2353
B+级

  Mentions Légales