Τελευταία ενημέρωση :
27/04/2026
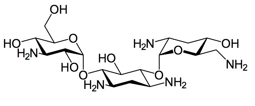
Αντιβιοτικό   Tobramycin sulfate  
Ενέσιμο
Αεροζόλ Οφθαλμικές σταγόνες Πόσιμο διάλυμα
Σταθερότητα διαλυμάτων Σταθερότητα σε μίγματα Παράγοντας που επηρεάζει τη σταθερότητα Συμβατότητες Τρόπος χορήγησης Βιβλιογραφία pdf
   χημική δομή  

Εμπορική ονομασία   Εμπορική ονομασία     

Οι εμπορικές ονομασίες είναι ενδεικτικές και η σύνθεση των εκδόχων μπορεί να διαφέρει ανάλογα με τη χώρα και τα εργαστήρια

Bactob Ινδία
Beltob Ινδία
Bramicil Ιταλία
Brulamycin Μαλαισία, Ουγγαρία, Σλοβενία
Eltol Ινδία
Fytobra Ινδία
Gernebcin Γερμανία
Komitob Ινδία
Nebcin Yhdistyneet arabiemiirikunnat, Αίγυπτος, Ελλάδα, Μεγάλη Βρετανία, νέα Ζηλανδία, Σαουδική Αραβία
Nebcina Δανία, Μαρόκο, Νορβηγία, Σουηδία
Nebcine Γαλλία, Μαρόκο, Σλοβενία
Nebicina Ιταλία
Obracin Βέλγιο, Ελβετία, Λουξεμβούργο, Ολλανδία
Tobracin Αίγυπτος, Βραζιλία, Σαουδική Αραβία
Tobramicina Αργεντινή, Βραζιλία, Εκουαδόρ, Ισπανία, Ιταλία, Κολομβία, Πορτογαλία, Χιλή
Tobramina Βραζιλία
Tobramycin Αυστραλία, Γερμανία, Η.Π.Α., Ιρλανδία, Καναδάς, Μεγάλη Βρετανία, Νορβηγία, Σαουδική Αραβία
Tobramycine Γαλλία, Ιρλανδία, Ολλανδία
Tobrasix Αυστρία
Tobrazid Γερμανία
Σταθερότητα σε μίγματα   Ενέσιμο   Σταθερότητα σε μίγματα : Tobramycin sulfate     
Υποδοχέας Διαλυτικό Συγκέντρωση Συστατικό Θερμοκρασία Αποθήκευση Διάρκεια σταθερότητας Βιβλιογραφία
Ύαλος Γλυκόζη 5% 3,2 mg/ml
Ενέσιμο   Tobramycin sulfate   
Ενέσιμο   Filgrastim 40 µg/ml
25°C
4 Ώρα
Απροσδιόριστο 104
Επίπεδο των αποδεικτικών στοιχείων B
Ύαλος Ουδέν 0,8 mg/ml
Ενέσιμο   Tobramycin sulfate   
Ενέσιμο   Ofloxacin 2 mg/ml
25°C
48 Ώρα
Απροσδιόριστο 889
Επίπεδο των αποδεικτικών στοιχείων D
Πολυβινυλοχλωρίδιο Χλωριούχο νάτριο 0,9% 1,2 mg/ml
Ενέσιμο   Tobramycin sulfate   
Ενέσιμο   Clindamycin phosphate 9 mg/ml
-20°C
28 Ημέρα
Προστατεύετε από το φως 565
Επίπεδο των αποδεικτικών στοιχείων D
Πολυβινυλοχλωρίδιο Χλωριούχο νάτριο 0,9% 1 mg/ml
Ενέσιμο   Tobramycin sulfate   
Ενέσιμο   Ciprofloxacin lactate 1,5 mg/ml
25°C
48 Ώρα
Φως 434
Πολυβινυλοχλωρίδιο Χλωριούχο νάτριο 0,9% 0,2 & 0,8 mg/ml
Ενέσιμο   Tobramycin sulfate   
Ενέσιμο   Aztreonam 10 & 20 mg/ml
25°C
48 Ώρα
Απροσδιόριστο 19
Επίπεδο των αποδεικτικών στοιχείων D
Πολυβινυλοχλωρίδιο Χλωριούχο νάτριο 0,9% 0,2 mg/ml
Ενέσιμο   Tobramycin sulfate   
Ενέσιμο   Aztreonam 10 & 20 mg/ml
4°C
7 Ημέρα
Προστατεύετε από το φως 19
Επίπεδο των αποδεικτικών στοιχείων D
Πολυβινυλοχλωρίδιο Χλωριούχο νάτριο 0,9% 0,2 & 0,8 mg/ml
Ενέσιμο   Tobramycin sulfate   
Ενέσιμο   Aztreonam 10 & 20 mg/ml
4°C
7 Ημέρα
Προστατεύετε από το φως 19
Επίπεδο των αποδεικτικών στοιχείων D
Πολυβινυλοχλωρίδιο Χλωριούχο νάτριο 0,9% 1 mg/ml
Ενέσιμο   Tobramycin sulfate   
Ενέσιμο   Ciprofloxacin lactate 1,5 mg/ml
4°C
48 Ώρα
Προστατεύετε από το φως 434
Πολυβινυλοχλωρίδιο Γλυκόζη 5% 1,2 mg/ml
Ενέσιμο   Tobramycin sulfate   
Ενέσιμο   Clindamycin phosphate 9 mg/ml
-20°C
14 Ημέρα
Προστατεύετε από το φως 565
Επίπεδο των αποδεικτικών στοιχείων D
Πολυβινυλοχλωρίδιο Γλυκόζη 5% 1 mg/ml
Ενέσιμο   Tobramycin sulfate   
Ενέσιμο   Ciprofloxacin lactate 1,5 mg/ml
25°C
48 Ώρα
Φως 434
Πολυβινυλοχλωρίδιο Γλυκόζη 5% 0,2 & 0,8 mg/ml
Ενέσιμο   Tobramycin sulfate   
Ενέσιμο   Aztreonam 10 & 20 mg/ml
25°C
48 Ώρα
Απροσδιόριστο 19
Επίπεδο των αποδεικτικών στοιχείων D
Πολυβινυλοχλωρίδιο Γλυκόζη 5% 0,2 mg/ml
Ενέσιμο   Tobramycin sulfate   
Ενέσιμο   Aztreonam 10 & 20 mg/ml
4°C
7 Ημέρα
Προστατεύετε από το φως 19
Επίπεδο των αποδεικτικών στοιχείων D
Πολυβινυλοχλωρίδιο Γλυκόζη 5% 0,2 & 0,8 mg/ml
Ενέσιμο   Tobramycin sulfate   
Ενέσιμο   Aztreonam 10 & 20 mg/ml
4°C
7 Ημέρα
Προστατεύετε από το φως 19
Επίπεδο των αποδεικτικών στοιχείων D
Πολυβινυλοχλωρίδιο Γλυκόζη 5% 1 mg/ml
Ενέσιμο   Tobramycin sulfate   
Ενέσιμο   Ciprofloxacin lactate 1,5 mg/ml
4°C
48 Ώρα
Προστατεύετε από το φως 434
Πολυβινυλοχλωρίδιο Dianéal® PD2 2.5% glucose (Baxter) 0,008 mg/ml
Ενέσιμο   Tobramycin sulfate   
Ενέσιμο   Ceftazidime 0,125 mg/ml
24°C
16 Ώρα
Απροσδιόριστο 2369
Επίπεδο των αποδεικτικών στοιχείων B
Πολυβινυλοχλωρίδιο Dianéal® PD2 2.5% glucose (Baxter) 0,008 mg/ml
Ενέσιμο   Tobramycin sulfate   
Ενέσιμο   Ceftazidime 0,125 mg/ml
37°C
8 Ώρα
Απροσδιόριστο 2369
Επίπεδο των αποδεικτικών στοιχείων B
Πολυολεφίνη Ουδέν 0,80 mg/ml
Ενέσιμο   Tobramycin sulfate   
Ενέσιμο   Linezolid 1,80 mg/ml
23°C
1 Ημέρα
Προστατεύετε από το φως 2353
Επίπεδο των αποδεικτικών στοιχείων B+
Πολυολεφίνη Ουδέν 0,80 mg/ml
Ενέσιμο   Tobramycin sulfate   
Ενέσιμο   Linezolid 1,80 mg/ml
4°C
7 Ημέρα
Προστατεύετε από το φως 2353
Επίπεδο των αποδεικτικών στοιχείων B+

  Mentions Légales