آخر تحديث :
27/04/2026
مضاد حيوي   Tobramycin sulfate  
حقن
الأيروصولات عن طريق الفم  قطرات العين
الاستقرار في حلول استقرار مخاليط العوامل التي تؤثر على الاستقرار التوافق طريقة التعاطي مراجع pdf
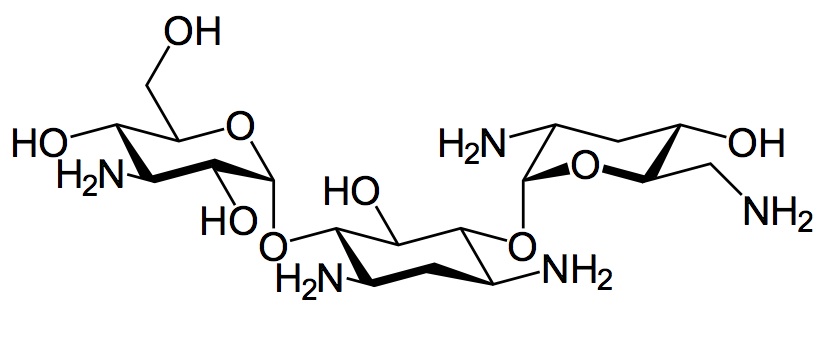
   التركيب الكيميائي  

حجز الاسم التجاري   حجز الاسم التجاري     

تحذير الأسماء التجاريه المختلفه قد تحتوي علي محتوي إضافات مختلفة حسب الدوله و المعمل

Bactob الهند
Beltob الهند
Bramicil إيطاليا
Brulamycin سلوفينيا, ماليزيا, هنغاريا
Eltol الهند
Fytobra الهند
Gernebcin ألمانيا
Komitob الهند
Nebcin الإمارات العربية المتحدة, العربية السعودية, بريطانيا العظمي, زيلاندا الجديدة, مصر, يونان
Nebcina الدنمارك, السويد, المغرب, النرويج
Nebcine المغرب, سلوفينيا, فرنسا
Nebicina إيطاليا
Obracin بلجيكا, سويسرا, لوكسمبورغ, هولندا
Tobracin البرازيل, العربية السعودية, مصر
Tobramicina إسبانيا, إيطاليا, الأرجنتين, الإكوادور, البرازيل, البرتغال, تشيلي, كولومبيا
Tobramina البرازيل
Tobramycin أستراليا, ألمانيا, العربية السعودية, النرويج, الولايات المتحدة, ايرلندا, بريطانيا العظمي, كندا
Tobramycine ايرلندا, فرنسا, هولندا
Tobrasix النمسا
Tobrazid ألمانيا
استقرار مخاليط   حقن   استقرار مخاليط : Tobramycin sulfate     
حاوية مذيب تركيز مركب درجة الحرارة تخزين مدة الاستقرار مراجع
زجاج الجلوكوز %5 3,2 mg/ml
حقن   Tobramycin sulfate   
حقن   Filgrastim 40 µg/ml
25°C
4 ساعة
لم يتم تحديد 104
B مستوى الأدلة
زجاج لا شيء 0,8 mg/ml
حقن   Tobramycin sulfate   
حقن   Ofloxacin 2 mg/ml
25°C
48 ساعة
لم يتم تحديد 889
D مستوى الأدلة
البولي فينيل كلوريد كلوريد الصوديوم 0.9% 1,2 mg/ml
حقن   Tobramycin sulfate   
حقن   Clindamycin phosphate 9 mg/ml
-20°C
28 يوم
بعيدا عن الضوء 565
D مستوى الأدلة
البولي فينيل كلوريد كلوريد الصوديوم 0.9% 1 mg/ml
حقن   Tobramycin sulfate   
حقن   Ciprofloxacin lactate 1,5 mg/ml
25°C
48 ساعة
ضوء 434
البولي فينيل كلوريد كلوريد الصوديوم 0.9% 0,2 & 0,8 mg/ml
حقن   Tobramycin sulfate   
حقن   Aztreonam 10 & 20 mg/ml
25°C
48 ساعة
لم يتم تحديد 19
D مستوى الأدلة
البولي فينيل كلوريد كلوريد الصوديوم 0.9% 0,2 mg/ml
حقن   Tobramycin sulfate   
حقن   Aztreonam 10 & 20 mg/ml
4°C
7 يوم
بعيدا عن الضوء 19
D مستوى الأدلة
البولي فينيل كلوريد كلوريد الصوديوم 0.9% 0,2 & 0,8 mg/ml
حقن   Tobramycin sulfate   
حقن   Aztreonam 10 & 20 mg/ml
4°C
7 يوم
بعيدا عن الضوء 19
D مستوى الأدلة
البولي فينيل كلوريد كلوريد الصوديوم 0.9% 1 mg/ml
حقن   Tobramycin sulfate   
حقن   Ciprofloxacin lactate 1,5 mg/ml
4°C
48 ساعة
بعيدا عن الضوء 434
البولي فينيل كلوريد الجلوكوز %5 1,2 mg/ml
حقن   Tobramycin sulfate   
حقن   Clindamycin phosphate 9 mg/ml
-20°C
14 يوم
بعيدا عن الضوء 565
D مستوى الأدلة
البولي فينيل كلوريد الجلوكوز %5 1 mg/ml
حقن   Tobramycin sulfate   
حقن   Ciprofloxacin lactate 1,5 mg/ml
25°C
48 ساعة
ضوء 434
البولي فينيل كلوريد الجلوكوز %5 0,2 & 0,8 mg/ml
حقن   Tobramycin sulfate   
حقن   Aztreonam 10 & 20 mg/ml
25°C
48 ساعة
لم يتم تحديد 19
D مستوى الأدلة
البولي فينيل كلوريد الجلوكوز %5 0,2 mg/ml
حقن   Tobramycin sulfate   
حقن   Aztreonam 10 & 20 mg/ml
4°C
7 يوم
بعيدا عن الضوء 19
D مستوى الأدلة
البولي فينيل كلوريد الجلوكوز %5 0,2 & 0,8 mg/ml
حقن   Tobramycin sulfate   
حقن   Aztreonam 10 & 20 mg/ml
4°C
7 يوم
بعيدا عن الضوء 19
D مستوى الأدلة
البولي فينيل كلوريد الجلوكوز %5 1 mg/ml
حقن   Tobramycin sulfate   
حقن   Ciprofloxacin lactate 1,5 mg/ml
4°C
48 ساعة
بعيدا عن الضوء 434
البولي فينيل كلوريد Dianéal PD2 الجلوكوز%2.5 (باكستر) 0,008 mg/ml
حقن   Tobramycin sulfate   
حقن   Ceftazidime 0,125 mg/ml
24°C
16 ساعة
لم يتم تحديد 2369
B مستوى الأدلة
البولي فينيل كلوريد Dianéal PD2 الجلوكوز%2.5 (باكستر) 0,008 mg/ml
حقن   Tobramycin sulfate   
حقن   Ceftazidime 0,125 mg/ml
37°C
8 ساعة
لم يتم تحديد 2369
B مستوى الأدلة
البولي فين لا شيء 0,80 mg/ml
حقن   Tobramycin sulfate   
حقن   Linezolid 1,80 mg/ml
23°C
1 يوم
بعيدا عن الضوء 2353
B+ مستوى الأدلة
البولي فين لا شيء 0,80 mg/ml
حقن   Tobramycin sulfate   
حقن   Linezolid 1,80 mg/ml
4°C
7 يوم
بعيدا عن الضوء 2353
B+ مستوى الأدلة

  Mentions Légales