Poslední aktualizace :
27/04/2026
Antibiotikas   Tobramycin sulfate  
Įpurškimas
Aerozolis Akių lašai Geriamas tirpalas
Tirpalų stabilumas Mišinių stabilumas Stabilumą lemiantys veiksniai Suderinamumas Leidimo būdai Bibliografija pdf
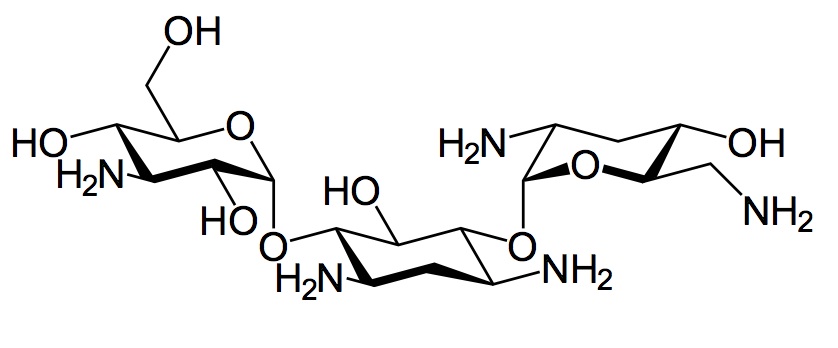
   Cheminė sandara  

Prekinis pavadinimas   Prekinis pavadinimas     

Trade names are indicative and excipients composition can be different depending on the country and manufacturers

Bactob Indija
Beltob Indija
Bramicil Italija
Brulamycin Malaizija, Slovėnija, Vengrija
Eltol Indija
Fytobra Indija
Gernebcin Vokietija
Komitob Indija
Nebcin Didžioji Britanija, Egiptas, Graikija, Jungtiniai Arabų Emyratai, Naujojoje Zelandijoje, Saudo Arabija
Nebcina Danija, Marokas, Norvegija, Švedija
Nebcine Marokas, Prancūzija, Slovėnija
Nebicina Italija
Obracin Belgija, Liuksemburgas, Olandija, Šveicarija
Tobracin Brazilija, Egiptas, Saudo Arabija
Tobramicina Argentina, Brazilija, Čilė, Ekvadoras, Ispanija, Italija, Kolumbija, Portugalija
Tobramina Brazilija
Tobramycin Airija, Australija, Didžioji Britanija, Jungtinės Amerikos Valstijos, Kanada, Norvegija, Saudo Arabija, Vokietija
Tobramycine Airija, Olandija, Prancūzija
Tobrasix Austrija
Tobrazid Vokietija
Mišinių stabilumas   Įpurškimas   Mišinių stabilumas : Tobramycin sulfate     
Pakuotė Tirpiklis Koncentracija Molekulė Temperatūra Laikymas Stabilumo trukmė Nuorodos
Stiklas Gliukozė 5% 3,2 mg/ml
Įpurškimas   Tobramycin sulfate   
Įpurškimas   Filgrastim 40 µg/ml
25°C
4 Valanda
Nenurodyta 104
Bandymo lygis B
Stiklas Nėra 0,8 mg/ml
Įpurškimas   Tobramycin sulfate   
Įpurškimas   Ofloxacin 2 mg/ml
25°C
48 Valanda
Nenurodyta 889
Bandymo lygis D
Polivinilchloridas Natrio chloridas 0,9% 1,2 mg/ml
Įpurškimas   Tobramycin sulfate   
Įpurškimas   Clindamycin phosphate 9 mg/ml
-20°C
28 Diena
Apsaugotas nuo šviesos 565
Bandymo lygis D
Polivinilchloridas Natrio chloridas 0,9% 1 mg/ml
Įpurškimas   Tobramycin sulfate   
Įpurškimas   Ciprofloxacin lactate 1,5 mg/ml
25°C
48 Valanda
Šviesa 434
Polivinilchloridas Natrio chloridas 0,9% 0,2 & 0,8 mg/ml
Įpurškimas   Tobramycin sulfate   
Įpurškimas   Aztreonam 10 & 20 mg/ml
25°C
48 Valanda
Nenurodyta 19
Bandymo lygis D
Polivinilchloridas Natrio chloridas 0,9% 0,2 mg/ml
Įpurškimas   Tobramycin sulfate   
Įpurškimas   Aztreonam 10 & 20 mg/ml
4°C
7 Diena
Apsaugotas nuo šviesos 19
Bandymo lygis D
Polivinilchloridas Natrio chloridas 0,9% 0,2 & 0,8 mg/ml
Įpurškimas   Tobramycin sulfate   
Įpurškimas   Aztreonam 10 & 20 mg/ml
4°C
7 Diena
Apsaugotas nuo šviesos 19
Bandymo lygis D
Polivinilchloridas Natrio chloridas 0,9% 1 mg/ml
Įpurškimas   Tobramycin sulfate   
Įpurškimas   Ciprofloxacin lactate 1,5 mg/ml
4°C
48 Valanda
Apsaugotas nuo šviesos 434
Polivinilchloridas Gliukozė 5% 1,2 mg/ml
Įpurškimas   Tobramycin sulfate   
Įpurškimas   Clindamycin phosphate 9 mg/ml
-20°C
14 Diena
Apsaugotas nuo šviesos 565
Bandymo lygis D
Polivinilchloridas Gliukozė 5% 1 mg/ml
Įpurškimas   Tobramycin sulfate   
Įpurškimas   Ciprofloxacin lactate 1,5 mg/ml
25°C
48 Valanda
Šviesa 434
Polivinilchloridas Gliukozė 5% 0,2 & 0,8 mg/ml
Įpurškimas   Tobramycin sulfate   
Įpurškimas   Aztreonam 10 & 20 mg/ml
25°C
48 Valanda
Nenurodyta 19
Bandymo lygis D
Polivinilchloridas Gliukozė 5% 0,2 mg/ml
Įpurškimas   Tobramycin sulfate   
Įpurškimas   Aztreonam 10 & 20 mg/ml
4°C
7 Diena
Apsaugotas nuo šviesos 19
Bandymo lygis D
Polivinilchloridas Gliukozė 5% 0,2 & 0,8 mg/ml
Įpurškimas   Tobramycin sulfate   
Įpurškimas   Aztreonam 10 & 20 mg/ml
4°C
7 Diena
Apsaugotas nuo šviesos 19
Bandymo lygis D
Polivinilchloridas Gliukozė 5% 1 mg/ml
Įpurškimas   Tobramycin sulfate   
Įpurškimas   Ciprofloxacin lactate 1,5 mg/ml
4°C
48 Valanda
Apsaugotas nuo šviesos 434
Polivinilchloridas Dianéal® PD2 2.5% glucose (Baxter) 0,008 mg/ml
Įpurškimas   Tobramycin sulfate   
Įpurškimas   Ceftazidime 0,125 mg/ml
24°C
16 Valanda
Nenurodyta 2369
Bandymo lygis B
Polivinilchloridas Dianéal® PD2 2.5% glucose (Baxter) 0,008 mg/ml
Įpurškimas   Tobramycin sulfate   
Įpurškimas   Ceftazidime 0,125 mg/ml
37°C
8 Valanda
Nenurodyta 2369
Bandymo lygis B
Poliolefinas Nėra 0,80 mg/ml
Įpurškimas   Tobramycin sulfate   
Įpurškimas   Linezolid 1,80 mg/ml
23°C
1 Diena
Apsaugotas nuo šviesos 2353
Bandymo lygis B+
Poliolefinas Nėra 0,80 mg/ml
Įpurškimas   Tobramycin sulfate   
Įpurškimas   Linezolid 1,80 mg/ml
4°C
7 Diena
Apsaugotas nuo šviesos 2353
Bandymo lygis B+

  Mentions Légales